Intuitive Concepts in Quantum Mechanics
Copyright © 1999-2002,
2004, 2005, 2007, 2009, 2011-2020 by
Brian Fraser (Scottsdale, Arizona, USA)
. All rights reserved.
Last modified 1--28-21
Purpose And Scope of This Article
What is Quantum Mechanics
The Basis for Intuitive Concepts
Counterintuitive Quantum Mysteries
Some Thoughts about Intrinsic Spin
Effects of Spin
The Origin of Intrinsic Spin
The Photon Spin System
The Atomic Spin System
Commutation and Angular Momentum
Rotations of Rotations
Speculations on the weakness of gravity
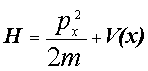
Quantum Mechanics and the Hamiltonian
Natural Quantities of Space, Time and Frequency
PythagoreanProblem
Large Scale Phenomena
The Problem of Quantum Reality
The Problem of Quantum Locality
The Problem of Quantum Probability
The Problem of Quantum Uncertainty
The Problem of Least Action
(The Problem of Entropy)
Some Complex Fun
Inverseness, Complementarity, and the Wave/Particle Duality
Links to Other Sites
Recommended Reading
Return to Scriptural Physics Home Page
Purpose And Scope Of This Article
The purpose of this article is to foster the development of intuitive concepts in atomic physics so that knowledge in this field will become more accessible and understandable to a larger group of people than is currently the case. The term, "atomic physics" will include quantum mechanics, but will not be limited to just this one particular field or its particular method of exposition. Conceptual problems in physics manifest themselves mostly at the extremes of the very small, very large, very slow, or very fast. They are just as apparent in astronomy and astrophysics, for example, as they are in quantum mechanics.
Physicist P. C. W. Davies notes that "Quantum mechanics is one of those subjects that usually comes right in the end, even though it can seem horribly obscure when only half-learned." Indeed, your first encounter with a book on quantum mechanics will probably leave you with the impression that it is an arcane, abstract, almost impenetrable topic. This particular science is filled with mathematical "maps of hell" written in strange notation seemingly incomprehensible to all but sorcerers or geniuses. The concepts you will encounter are also disorienting, namely things like matter waves, probability amplitudes, non-locality, negative energy, tunneling, various paradoxes, clumsy, inelegant fudge factors, inexplicable constants, "principles" of indeterminacy and uncertainty, intrinsic spin, ridiculous models of the atom, quantum jumping, and so forth. And, as though all these problems were not enough, they raise "fundamental philosophical questions about the nature of reality."
Instead of quantum mechanics becoming clear "in the end" as Davies notes, it would be very desirable to make it clear "from the beginning." I hope that this goal can be achieved by giving a synopsis of the perplexing factual issues, some suggestions about crucially important intuitive concepts, and in finding an introductory "middle ground" for the mathematics. I hope this will make early encounters with this topic a bit less abrasive for everyone interested in this topic.
I am not a physicist. Nor do I have the time or resources or background to pursue a full exposition of this important topic. I can only offer some suggestions about how conceptual problems in quantum mechanics could be resolved. It is my hope that others will build on these insights, and share their findings just as I am attempting to do. I regret that I do not have the time to write an actual article on this topic; the presentation here uses the "under construction format" and is therefore a bit disjointed. Nevertheless, I hope it will be of some value to the diligent and patient reader. And I hope readers will share their insights with me. My prime reason for publishing this "stuff" is so I can learn more myself. (And you will probably see my particular personality type in what I write: http://typelogic.com/intj.html , http://en.wikipedia.org/wiki/Mastermind_(role_variant) ; http://typelogic.com/istj.html )
Near the beginning of the twentieth century, scientists were confronted with many factual mysteries pertaining to microphysical phenomena. The classical, or Newtonian, mechanics was completely inadequate to deal with these mysteries, and so a new type of mechanics was invented: quantum mechanics. If you love good mysteries, you will find these to be among the best that the physical universe has to offer. I rate them as best in cleverness and best in ultimate importance. Despite their superficial simplicity, they have not been solved, not even by the most brilliant minds using the best equipment available to science. Quantum mechanics gives us "recipes" to get useful numerical answers, but despite 75 years of research, there is STILL no generally accepted explanation for the mysteries described below. The human mind will not rest until they are solved. Can you solve them?
Quantum mechanics is "The modern theory of matter, of electromagnetic radiation, and of the interaction between matter and radiation; it differs from classical physics, which it generalizes and supersedes, mainly in the realm of atomic and subatomic phenomena." (McGraw-Hill Dictionary of Scientific and Technical Terms, 5th ed.)
__________
""Quantum mechanics" is the description of the behavior of matter and light in all its details and, in particular, of the happenings on an atomic scale. Things on a very small scale behave like nothing that you have any direct experience about. They do not behave like waves, they do not behave like particles, they do not behave like clouds, or billiard balls, or weights on springs, or like anything that you have ever seen. . . . Because atomic behavior is so unlike ordinary experience, it is very difficult to get used to, and it appears peculiar and mysterious to everyone—both to the novice and to the experienced physicist. Even the experts do not understand it the way they would like to. . . . We know how large objects will act, but things on a small scale just do not act that way. So we have to learn about them in a sort of abstract or imaginative fashion and not by connection with our direct experience." (The Feynman Lectures on Physics, R. P. Feynman, R. B. Leighton, M. Sands, 1965 (Addison-Wesley ), Vol 3, p. 1-1 under "Atomic Mechanics")
__________
"In the short period of 1925 to 1928, Heisenberg, Schrodinger, Born, Dirac and many others laid the foundations of what is one of the greatest theories of all time, the theory of quantum mechanics. In generality and in range of application, it is unsurpassed. It has been so successful that one cannot discuss atomic and nuclear matters without some understanding of this basic theory.
"Because the predictions of quantum mechanics agree with so many different types of accurate, careful, repeated experiments,—the last court of appeal for all theories—this theory is almost certain to become a permanent part of man's equipment for understanding and analyzing a large and very important part of nature. However its conceptual foundations or philosophy may change in the future, it has already, in a thousand ways proved its utility and power." (Introduction to Quantum Mechanics, Chalmers W. Sherwin, 1959, (Holt, Rinehart and Winston ), pages 6,7)__________
"Why is it so hard to learn? Students find quantum mechanics tough going for two reasons, one conceptual, the other technical. Familiar concepts like speed, size, acceleration, momentum and energy take on weird features, or even become meaningless. Intuition gained from daily experience is of no help, or can even be misleading. The student must learn to think about mechanical concepts in a completely different way. Some of the conceptual issues are still a matter of dispute among physicists and have raised fundamental philosophical questions about the nature of reality and the role of the observer in the physical universe. . . . On the technical side, the mathematical description of quantum processes is rather abstract, and not very obviously related to the subject of its description. Physical quantities are represented by mathematical objects with unusual properties. Some of the mathematics is also often new to the student and learning it can be an additional burden" (Quantum Mechanics, P. C. W. Davies, 1984, (Chapman and Hall), pages ix, x)
__________
"Quantum mechanics provides a good example of the new ideas. It requires the states of a dynamical system and the dynamical variables to be interconnected in quite strange ways that are unintelligible from the classical standpoint. . . . The justification for the whole scheme depends, apart from internal consistency, on the agreement of the final result with experiment. (The Principles of Quantum Mechanics, P.A.M. Dirac, 4th ed., (1958), p. 15)
__________
"Like all humans, scientists have a deep-rooted need for descriptive explanations; mathematical formalism, alone, even if seemingly correct, is somehow insufficient. However, quantum mechanics furnishes predictions, not explanations. Perhaps there will come a time when the mysterious wavelike processes inherent in the structure of quantum theory will be unraveled in a causally explicit way—although I rather doubt it. But neither do I find that doubt disturbing. If not purpose, then surely there is a least great satisfaction in a theory of such broad predictive power that opens up for exploration a world beyond the senses where even the imagination can scarcely follow." (A Universe of Atoms, An Atom in the Universe, Mark P. Silverman (2002) p. 123 )
__________
Newtonian mechanics, also known as classical mechanics, is the mechanics used to describe the behavior of familiar, ordinary objects like cars, levers, gears, the forces on ships in the sea, the stresses in bridges and buildings, the trajectories of cannon balls, etc. Quantum mechanics describes the behavior of extremely tiny discrete objects like atoms and photons (light). Quantum electrodynamics is the modern extension of quantum mechanics to include the realms of electricity, magnetism, and light. In quantum mechanics, the discrete or "quantized" nature of matter and energy is prominent. In continuum mechanics (classical field theory) this discrete nature is unimportant.
Quantization is actually a fairly ordinary concept. The real heart of quantum mechanics is revealed by a phenomenon called "interference". It is, in physicist Feynman's words "the only mystery". It is "impossible, absolutely impossible, to explain in any classical way." It also points to one of the most fascinating things you will learn in the study of quantum mechanics: the Universe seems strangely "overbuilt." It uses fantastic, seemingly unimaginable machinery, to create ordinary appearances (this, incidentally, is especially true of living, biological systems).
The Basis for Intuitive Concepts
"Intuitive", as used here, is intended to mean "credibly constructed, logically and conceptually clear". If you have a well-educated intuition, it might even mean "self-evident", but most readers won't find the ideas presented here to be that obvious. I would also like to think that mathematics qualifies as natural and intuitive. Unfortunately, most people regard math as arcane and abstract. So for now, I have kept the math to a minimum in this presentation.
Two realizations are necessary to see a path to intuitive concepts in quantum mechanics:
1. All physical phenomena and physical entities in the physical universe can be described in terms of pure space/time or time/space ratios. The ratios may have active (i.e., progressing) components in time, space, or both. They can be active in one, two, or three dimensions. The ratios may be inherently linear or rotational. Ratios may enter into relationships with other ratios.
2. The commonly used space-time reference system is incapable of fully depicting the true, ultimate character of these ratios.
My view here is somewhat like that of the Copenhagen Interpretation: "Quantum theory is not a representation, much less a description, of quantum reality, but a representation of the relationship between our familiar reality and the quon’s utterly inhuman realm." (Quantum Reality, Nick Herbert, 1985, p 144) In other words, quantum mechanics is the bridge between our accessible world and a strange inaccessible world. It is simply a pragmatic way of coping with the limitations of the reference system.
The first step in developing intuitive concepts in quantum mechanics or physics in general, is to realize how the commonly used reference system misleads our intuition:
- Space and time must always be treated as a ratio. But our reference system treats space and time as though they are independent and unrelated.
- Space is viewed like a container or background, "in" which events occur. Physical phenomena, however, especially that in quantum physics, may involve only 1 spatial unit. There is no "inside" to this space. Nor are there positions or trajectories, at least not in the way we commonly think about them. All activity at one spatial unit must be temporal.
- Time is similarly viewed as a setting by which the occurrence of events can be ordered. But time is actually three-dimensional, and our contact with it through the reference system is one-dimensional. Strict notions of causality and determinism ("A comes before B and causes C") break down. The temporal relationships of the phenomena are reduced to mere probability amplitudes in the context of the reference system.
- For large scale phenomena, a position in three-dimensional time maps into the spatial system in a random manner. Phenomena that are extremely isotropic and homogeneous like cosmic rays, and cosmic background radiation, represent temporal phenomena (or temporal structures) as seen from a spatial reference system.
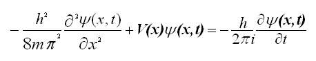
- Because a particle has two types of position (one in three-dimensional space and another in three dimensional time), there are also two types of "mechanics" to describe its motion. Spatial motion (s/t) is described by Newtonian mechanics in terms of paths, trajectories, and forces. A particle's temporal motion component, however, has no path or trajectory as seen from a spatial reference system. A path in three-dimensional time simply cannot be described directly with spatial terminology. Instead, its description requires "non-path" mathematical tools like the expression for total energy and potentials as found in the Hamiltonian. Changes in location, rather than the locations themselves, can also be described, and this leads to differential equations like Schrödinger's wave equation. Temporal locations are "non-local" in the spatial system (the temporal origin is anywhere/everywhere because it is a "when" description, not a "where" description. It just "doesn't care" about spatial locations.) This requires mathematical tools that have "infinite reach" like Schrödinger's wave equation, Heisenberg's infinite matrices, and Feynman's method of "sum over all possible paths". These characteristics also lead naturally into the concepts of superposition of multiple states, probability amplitudes, and of "reality" being intertwined with the measurement system, rather than existing in an independent way. The type of mechanics that addresses these temporal aspects is called "Quantum Mechanics".
- The two kinds of locality offer a conceptual framework for single photon interference in a two-slit appartus. The spatial version of the photon goes through one or the other slit. But the temporal version is delocalized (is anywhere/everywhere from the spatial standpoint) and "encounters" both slits. The effects combine in a way that results in what is called "single photon interference". (see discussion below)
- Intrinsic temporal motion (t/s) may be attached to a spatial object. The most obvious example is gravitation. Again, such a motion has no path in space. It simply does not know or care about spatial direction. Hence, the motion is non-directional in a spatial reference system. It can be described as a spherically distributed motion, or as an inverse square force that causes such motion. Such motions are described with "field equations" like Maxwell's instead of force equations like Newton's.
- Phenomena that seem to be connected, but not in or through space ("non-locality" ), have their connections in three-dimensional time which simply cannot be seen in a spatial reference system. The EPR paradox is a good example of this. Two correlated photons can remain in the same temporal location even though their spatial locations become widely separated. They are "together" in one sense and "apart" in the other.
- The maximum speed that the spatial reference system can portray as a change of position in space, is, c, the speed of light. The space/time (or time/space) phenomena itself is not affected by reference system limitations and can display enormous energies, enormous redshifts, and other characteristics that are incomprehensible in the context of such a reference system. Speeds in space are always less than c, and speeds in time are always greater than c.
(I have written much more about space/time characteristics in Advanced Stellar Propulsion Systems.)
Physicists themselves hope for a theory that is simpler than the mess we have today, and even believe such a thing is possible:
"We have come to the conclusion that what are usually called the advanced parts of quantum mechanics are, in fact, quite simple. The mathematics that is involved is particularly simple, involving simple algebraic operations and no differential equations or at most only very simple ones. The only problem is that we must jump the gap of no longer being able to describe the behavior in detail of particles in space." —The Feynman Lectures on Physics, Feynman, Leighton, Sands, (1965) Vol. 3, p. 3-1
"All physical theories . . . ought to lend themselves to so simple a description that even a child could understand them." —Albert Einstein
"However, if we do discover a complete theory, it should in time be understandable in broad principle by everyone, not just a few scientists. Then we shall all, philosophers, scientists, and just ordinary people, be able to take part in the discussion of the question of why it is that we and the universe exist." —A Brief History of Time, Steven Hawking, 10th ed. (1998) p. 191
"The beauty of physics lies in the extent to which seemingly complex and unrelated phenomena can be explained and correlated through a high level of abstraction by a set of laws which are usually amazing in their simplicity. In the history of this abstraction, no triumph has been more spectacular than electromagnetic theory." —Principles of Electrodynamics, Melvin Schwartz, 1987, p. 105
"Richard Feynman was able, in his PhD thesis, to reformulate quantum mechanics into a single, complete system of mechanics that includes all of classical mechanics as well. Feynman's mechanics, based on the Lagrangian, is all you need to explain all of mechanics, from the motions of the stars to the motions of electrons. For obvious reasons, this is often known as the path integral formalism of quantum theory. . . . It is actually much easier, in terms of the mathematics, to work with the Lagrangian than with the alternative Hamiltonian approach (which, through a historical accident, is the way most people are introduced to mechanics); John Wheeler, who was Feynman's PhD supervisor, says that his thesis, presented in 1942, marked the moment 'when quantum theory became simpler than classical theory'. If only teachers of physics in schools had the sense to teach mechanics from the beginning using the Lagrangian formalism, students could learn both classical and quantum mechanics at once, using equations that are easier to manipulate. One of the main reasons why quantum mechanics often seems difficult when students do encounter it is that they have to unlearn all the old stuff first." (Q is for Quantum: An Encyclopedia of particle physics, John R. Gribbin, 1998, p.202-203) See also http://www.eftaylor.com/pub/CallToAction.pdf , http://www.eftaylor.com/software/ActionApplets/LeastAction.html , http://www.eftaylor.com/pub/ForceEnergyPredictMotion.pdf , http://www.eftaylor.com/leastaction.html , http://www.courses.fas.harvard.edu/~phys16/Textbook/ch5.pdf , http://www.people.fas.harvard.edu/~djmorin/chap6.pdf
In spite of this wish, things have only gotten worse. The public can now watch the development of String Theory, with its multiple universes and eleven dimensions, on public television. This is certainly another theory that is headed off into the weeds. At the other extreme we have the "Saturday evening theoreticians" who come up with their own theories that have obvious flaws. Ask any university professor and he will tell you that there are thousands of them (and that he gets emails from all of them). What I am hoping for is a fresh start, one that begins with a sound premise, uses sound methodology, and produces clear "ideas" that will lead into the development of a complete theory.
Now let's consider some of the factual and conceptual problems physicists have had to wrestle with.
Counterintuitive Quantum Mysteries
Thomas Young's classical double slit experiment of 1801 provided unambiguous and convincing evidence that light has a wave nature. He used an apparatus like the one represented in the diagram below:
If light consisted of particles traveling in straight lines, one would not expect the maximum light intensity to appear directly behind the "shadow" of the central blockage between the two slits. And if light were particles, there would be no periodic waviness of the intensity of the pattern on the screen. If light were particles, another slit should mean more light. And where more light is expected, there should be more light, not darkness. However, all these problems are resolved if light is behaving as a wave.
This was one of those historical experiments that every student of physics is practically required to perform. In college physics we would smoke up a microscope slide and create two slits in the smoke film by placing two razor blades together and lightly scoring a double line in the smoke film. Then we would hold the slide up to our eye and look through it at a bare-filament bulb (or even a distant street lamp) . The (multicolored) diffraction/interference pattern could easily be seen. A more modern version of this experiment uses an ordinary classroom pointing laser. The laser is shined on the double slit and the light projects onto a white card or paper behind it. The diffraction/interference pattern can be clearly seen on the paper (do not look at the laser beam directly).
The math was simple too. We could calculate the interference pattern intensity with little more than simple trigonometric relations.
So what is the big mystery? It is simply this: The light source can be dimmed down to the point where there is, on the average, only one photon traversing the apparatus at a time. Yet the diffraction/interference pattern still appears. In fact, in 1909, G. I. Taylor performed a similar experiment by photographing a diffraction pattern of a needle (instead of a double slit). He used an extremely feeble light source. A 2000 hour time exposure allowed the diffraction pattern to manifest itself on a photographic plate. The pattern was every bit as distinct as that obtained from a short exposure with a bright light source.
Similar experiments have been repeated many times. Short exposures with feeble sources result in photographs that have a very grainy, seemingly random pattern of exposed spots. Somewhat longer exposures are also very grainy, but also reveal that a pattern is beginning to emerge. Much longer exposures with the same dim source finally show a full, distinct diffraction pattern. Light is acting like a particle (definite position and energy) when it hits the photographic plate, yet acts like a wave (spread out in space) when passing through both slits and creating the diffraction pattern. It acts like a particle when sent one-at-a-time through the apparatus, but the pattern on the photographic plate shows a pattern characteristic of a wave.
To further confuse matters, similar experiments were performed with electrons and neutrons. We commonly regard these as particles (possessing a definite position, trajectory, momentum, etc.). Yet they too produced an interference pattern. Such patterns are characteristic of waves, not particles. How can waves act like particles, and particles act like waves? And like the experiments with light, the interference pattern will appear even if only one electron or neutron at a time is traversing the apparatus.
Clever experimenters have tried to determine which slit the photon or electron goes through. Suppose electrons are sent into a similar apparatus and we have a little light secretly waiting behind one of the two slits (like a traffic cop with a radar gun). As the electron flies by, a little flash of light will be reflected, and we will know which of the two slits the electron actually went through. When we actually try to do this (not exactly in this way), nature seems to get very devious. The interference pattern simply disappears and goes back to the single slit pattern (it knows the traffic cop is watching!). All sorts of clever schemes have been tried, and all end up with the same result. If the detector can somehow distinguish between the particle paths, even in principle, then there is no interference pattern!
These results are so counterintuitive no one would believe this actually happens unless the experimental evidence were as overwhelming as it is.
This diffraction/interference from one-at-a-time photons is commonplace and occurs in all sorts of optical systems, from complex to the simplest, whether we notice it or not. Consider the following illustrations:
The modern explanation of this paradox—the wave/particle duality—is that both light and particles have BOTH a wave nature and a particle nature. The wave amplitude, and specifically the square of the wave amplitude, represents the probability density that a photon (or electron) will appear in some position on the photographic plate. It is as though the photons are being directed by an abstract mathematical wave as they fly through the apparatus. The wave is like an invisible traffic cop who splits oncoming traffic, car by car, into a bunch of different directions, according to a definite pattern. The cars do not interact among themselves and no particular car knows where the other cars are going.
Physicist Dirac has a discussion of the interferometer problem in his book The Principles of Quantum Mechanics:
"Suppose we have a beam of light which is passed through some kind of interferometer, that it gets split up into two components and the two components are subsequently made to interfere. We may . . . take an incident beam consisting of only a single photon and inquire what will happen to it as it goes through the apparatus. This will present to us the difficulty of the conflict between the wave and corpuscular theories of light in an acute form."
He then describes the difficulties, presents some aspects of the theory of superposition of wave functions and emphasizes how the photon situation differs from that in classical mechanics. Then he notes the necessity of applying the probability principle to one photon at a time:
"Sometime before the discovery of quantum mechanics people realized that the connexion between light waves and photons must be of a statistical character. What they did not clearly realize, however, was that the wave function gives information about the probability of one photon being in a particular place and not the probable number of photons in that place. The importance of that distinction can be made clear in the following way. Suppose we have a beam of light consisting of a large number of photons split up into two components of equal intensity [think of the interferometer illustration here]. On the assumption that the intensity of a beam is connected with the probable number of photons in it, we should have half the total number of photons going into each component. If the two components are now made to interfere, we should require a photon in one component to be able to interfere with one in the other. Sometimes these two photons would have to annihilate one another and other times they would have to produce four photons. This would contradict the conservation of energy. The new theory, which connects the wave function with probabilities for one photon, gets over the difficulty by making each photon go partly into each of the two components. Each photon then interferes only with itself. Interference between two different photons never occurs." (The Principles of Quantum Mechanics, P.A.M.Dirac, 4th ed., 1958, pages 7-9)
In other words, this type of interference is not an en masse phenomena, like the interference of water waves that can be observed in a ripple tank. The photon in the interferometer ends up in one optical leg or the other, and is somehow directed to the photographic plate in just such a special way that will contribute to the build-up of a precise interference pattern, even though it may be the only photon in the apparatus during that instant of time.
Understanding Dirac's concern about the conservation of energy is also crucial. Two ordinary waves, like water waves, can "cancel" each other if they are 180 degrees out of phase. In a ripple tank you can see two sets of waves approaching each other and you can note the spot where they would have the 180 degree phase difference. At that precise spot, the valley of one wave is filled in by the peak of the other wave, and the water surface ends up at normal height. The phenomena is well known and is called "destructive interference." It finds practical application in the electronic devices that emit "antinoise" to make work areas quieter and in antireflection coatings on camera lenses.
Likewise, two photon waves can "cancel" if they are 180 degrees out of phase. But people who think about this, soon find a problem with the concept. Each photon has a discrete amount of energy. If two photons were to interfere destructively, what happens to their energy? It cannot just disappear. Mathematically they cancel, but what happens physically? The Conservation of Energy principle is inviolate. The energy still has to go some place. Like two bullets, the two photons cannot just vanish, not even for an instant. So in quantum mechanics the wave is interpreted to denote the probability that a single photon will appear in a certain place. In quantum technobabble it is called "the expectation value of an observable." This "gets over the difficulty", to use Dirac's own words, of the Conservation of Energy problems that would otherwise be created by both constructive and destructive interference.
This interpretation has a lot of factual support and has been used very successfully to predict the outcome of all sorts of extremely varied phenomena. But while it is a good description of what nature does, it leaves us utterly mystified about the how. How would a single photon, or electron, know where to hit the photographic plate or detector? Surely it does not compute its own wave function. Surely it does not say "Let's see, I am going towards a photographic plate in an interferometer, and 60% of us are supposed to end up here, 35% there, and the other 5% next to that." Surely it does not know how many photons have already arrived in any particular spot. If you were the Designer and Maker, how could you build something that automatically, and by its very nature, acted this way so easily and reliably? (Job 38:19-24)
__________
The mystery gets even deeper when one discovers that the quantum type of interference is also possible temporally, not just spatially. Note what physicist Mark P. Silverman has to say on this topic:
"The potential for quantum interference exists whenever a particle can propagate from its source to the detector by alternative spatial pathways under experimental conditions such that the exact pathway taken cannot be known. The archetypal example is the Young's two-slit experiment in which the particle, when probed, passes through one slit or the other. Unprobed, the resulting particle distribution is explicable only in terms of probability amplitudes that seemingly propagate through both slits. There is a direct temporal analogue to the two-slit experiment in which the linearly superposed amplitudes represent—not alternative spatial pathways—but rather the evolution of alternative indistinguishable events in time. . . .
The phenomenon of quantum beats . . . is intrinsic to each atom and not a cooperative interaction between atoms. In other words, the spontaneous emission from single atoms is not modulated, but registers at the detector as one quantum of light at a time; the pattern of beats (measured at one location in real time or, equivalently, at different spatial locations along an accelerated atomic beam) can nevertheless be built up by the decay of many such single atoms. This is again the old "mystery" of quantum interference translated to the time domain: How can independently excited, randomly decaying, noninteracting atoms produce a pattern of photon arrivals that oscillates in time? Note that the synchronization required for the beats to survive ensemble averaging does not imply that emitting atoms communicate with or influence one another. Rather, an apt analogy, if there be any, would be that of a large number of independent clocks all separately wound and set to the same time by the clockmaker." (See More Than One Mystery : Explorations in Quantum Interference, Mark P. Silverman, 1995, p. 100 to 102, ISBN 0-387-94376-5)
In Young's experiment the interference pattern is most easily seen on a screen placed behind the two slits. The pattern of fringes is stable and varies with spatial position, but not with time. Of course, it is also possible to map out the interference pattern by spatially moving one little photon detector back and forth behind the two slits, and then plotting the detected intensity versus spatial position on a graph. This might be done, for example, when a screen or photographic plate cannot be used. The graph shows the existence of an interference pattern, much like what is seen on the photographic plate. In the experiment described above by Silverman, the detector remains in one spatial location, and the intensity of photon arrival varies over time, instead of over spatial position. When the intensity is plotted versus time, a graph showing similar interference effects is produced. Roughly speaking, the light seems to be winking on and off with the passage of time. The specific experimental conditions imposed require this to be a temporal manifestation of an interference effect. At the single photon level, this is just as mysterious and counterintuitive as that for Young's double slit experiment.
Some Thoughts about Intrinsic Spin
Space/time ratios do not necessarily progress only as a change of position in three-dimensional space or as a change of position in three-dimensional time. They can also progress as a change of direction. The ratio is thus "doing something" even though it is not "going somewhere." This type of activity will be called "intrinsic spin" and is essentially the same thing as what physicists mean by the term. It is not the the spin "of" something. It is a space/time ratio that manifests itself mathematically as a rotation. Spin can be a space/time ratio or a time/space ratio, and may involve multiple dimensions of either space or time. Such ratios are inherently in motion (or are motion), yet because this motion is a change of direction, and not of position, atoms can form stable positional relationships with other atoms. This allows for the existence of molecules and atomic aggregates in general (material "things").
In the current vernacular spin is "the intrinsic angular momentum of an elementary particle or nucleus, which exists even when the particle is at rest, as distinguished from orbital angular momentum" (McGraw-Hill Dictionary of Scientific and Technical Terms, 5th ed., "spin") In my personal concept of the atom, there are no electrons orbiting the nucleus, and the nucleus is actually the atom itself. Consequently, whatever concepts and mathematics are currently attached to "orbital angular momentum" must find some alternative interpretation.
If you are having some trouble picturing "intrinsic spin," rest assured you are not alone. It is a problem for physicists too:
"Although one can try to picture the spin of an electron as analogous to the diurnal rotation of the Earth about its axis, this is not really satisfactory. High-energy scattering experiments probing the internal structure of the electron indicate (in contrast to the proton and neutron) that the electron is a ‘point’ particle composed of no more fundamental subunits to within an experimental limit of about 10-16 cm. [10-8 Angstrom] If one models the electron as a spinning charged sphere of radius equal to the so-called classical electron radius . . . the resulting linear velocity of a point on the ‘equator’ of the electron surface . . . exceeds the velocity of light by a factor of over 170. If a smaller radius is adopted, then the violation of relativity is even greater. No classical model of electron structure, in fact, has proved adequate. It seems therefore, that spin must simply be accepted, and not structurally interpreted." (And Yet It Moves: Strange Systems and Subtle Questions in Physics, Mark P Silverman, 1993, p. 216-217)
"Evidently it is necessary to rotate a particle with intrinsic spin twice, i.e. through 4p, before its original physical state is restored. This weird double-valued aspect of intrinsic spin sets it apart from ordinary angular momentum (and intuition). It cautions us not to attach too literal a meaning to the word spin. The classical image of a body rotating about an axis is totally inadequate to describe the peculiar geometrical properties of intrinsic spin. The nature of the spin of a particle such as an electron has no direct counterpart in the macroscopic world of our experience." (Quantum Mechanics, P. C. W. Davies, 1984, p. 83)
". . . the rotation of a spin-½ particle through 360° . . . changes the sign of its spin state . . . . There appears to be a general requirement that actions which for spin-1 particles restore original states completely (such as 360° rotations and particle interchanges), must be applied twice to recover the initial state of a spin-½ system." (Quanta: a handbook of concepts, P.W. Atkins, 2nd ed., p. 268)
"In an introductory treatment of quantum mechanics it is very difficult to give a really adequate account of electron spin . . . . the idea of spin is intimately associated with the concept of rotation, and yet we do not succeed in demonstrating the connection between spin and ordinary angular momentum. . . . [certain spin phenomena] are clearly demonstrated in one-dimensional systems where ordinary angular momentum cannot even be defined. Since some of the important features due to spin appear without any reference to ordinary angular momentum, the "intrinsic angular momentum" asociated with spin must be regarded as only one of the several aspects demonstrated by the matter waves of the Dirac theory." (Introduction to Quantum Mechanics, Chalmers W. Sherwin, 1959, p. 279)
There are apparently two types of intrinsic spin. I refer to them as one-dimensional and two-dimensional spins:
A one-dimensional (2p) spin can be visualized as a disk. The angular displacement required for one rotation can be computed by the common formula: S=rq. Solving for q gives q = S/r and so one rotation is 2pr/r or simply 2p radians.
- A two-dimensional (4p) spin can be visualized as a sphere. "The unit used for measuring a solid angle is the steradian. Since the area of a sphere of unit radius equals 4p , the total solid angle about a point is 4p steradians" (Van Nostrand's Scientific Encyclopedia, 3rd ed., under "angle") Hence, one complete revolution in the two-dimensional sense represents the surface area of a sphere instead of twice the arc length of a circle. The solid angle for one revolution is: q = 4pr2/r2 which reduces to 4p steradians.
The 4p spin is the counter intuitive one that seems to have "to go around twice to get back where it started" (kind of like traversing a Mobius Loop). But this would be the case if you visualized the 4p spin like the stacked disks in a combination lock where you have to turn the knob backwards twice, to get the disks back into their original position. An alternative interpretation is that this is ONE two-dimensional spin which can be decomposed into TWO one-dimensional spins that are orthogonal. Perhaps one of my illustrations from Cartoomb™ # 7 can make this easier to visualize:
The photon and the (uncharged) electron appear to have the 2p spin. Trying to measure their diameter may be an exercise in futility. Other simple particles like the neutron appear to use the 4p spin system. The periodicity of the Periodic Table suggests that atoms in their simplest forms (no isomers, isotopes, ionization, etc) are composed of three orthogonal spin systems: two 4p spins and one 2p spin. If you insist on trying to picture this, it would probably be something like a football (American type) with an end-over-end spin imposed on it ( a "bounced football"). All this applies to what we currently call the "nucleus" because, as I have said before, my version of the atom does not have any electron shells.
I can just hear some of my readers saying, "So you think the atom is made up of these perpendicular spinning sphere things. How can spheres be perpendicular?" Perhaps some clarifications are in order lest the concepts soon become mangled beyond all recognition.
Firstly, I mean "orthogonal" in the general sense of "independent", not in its more restricted geometric sense of "perpendicular". The atom can be represented by a set of numbers, say {a,b,c}, where each of these numbers represents a rotational magnitude (a frequency) and where two of the numbers, say a and b, each represent a separate rotation of the 4p type and the remaining one represents a rotation of the 2p type. Each make their own special contribution. If one were missing, the characteristics it contributes cannot be made up by those that remain (in other words, entire rows (or columns) of the Periodic Table would disappear).
Secondly, it is best to think of the 4p rotation as ONE rotation, not two. It is ONE rotation of the two-dimensional type. This may seem like a strange concept, but actually most of my readers have encountered a very similar concept in highschool algebra: complex numbers. A complex number is just ONE number that is comprised of an ordered pair of two real numbers. The two components are kept separate by the device of multiplying one of them by Ö-1 (usually denoted by the letter i in mathematical literature and j in electrical engineering literature, where i is conventionally used to denote an element of electric current). A complex number is often written out as z = x + iy. We say it consists of a real component (x) and an imaginary component (iy). We visualize the real numbers as members of a number line. Complex numbers are visualized as members of a number plane (called the "z-plane" or "complex plane" or "Gaussian plane").
It is important to understand that the x and y components of a complex number are independent (orthogonal). For this reason, they are plotted on axes that are perpendicular and only cross at zero. Sometimes readers confuse this use of x and y with the other x and y that were used in highschool algebra to map functions. In that case x was the independent variable, and y was the dependent variable. My readers probably remember doing many of those y = f(x) graphs. The function, f(x) maps a value, x, from one real number line onto another real number line which contains the value y. If you were to do a similar thing with complex functions, say w = f(z), you would need a complex plane to represent z, and (usually) another complex plane to represent w (because if w is a function of a complex variable it could also be a complex number itself).
The uses and properties of complex numbers are fascinating topics, especially in calculus. And you will make use of complex numbers if you study quantum mechanics (see Some Complex Fun below for some teasers about complex numbers). But for now the only essential point is to be able to think of a complex number as ONE number. If you "look under the hood," you will find two components; you could say that it is ONE two-dimensional number. But conceptually, it is easier to visualize it as one (special) number.
Similarly the 4p spin is just ONE spin of the two-dimensional type.
The dimensional effects of spin are probably most readily manifested in polarization experiments. Light, which has the 2p spin system (one-dimensional), cannot pass through two crossed polarizers that are in series, but does go through if the polarizers have the same orientation:
A beams of atoms, which have the 4p spin system (two-dimensional), can also be polarized. Atoms, however, behave quite differently than light when sent through crossed polarizers in series:
See also:
The Feynman Lectures on Physics, Feymen, Leighton, and Sands, 1965, Vol 3, lecture 5 and
The Structure and Interpretation of Quantum Mechanics, R.I.G. Hughes, 1989, "The Stern-Gerlach Experiment", p. 1-8.
Spins in Chemistry, Roy McWeeny (1970) http://www.amazon.com/Spins-Chemistry-Dover-Books/dp/0486434869/
Rotations of RotationsThe idea that "two-dimensional motion" can be just ONE motion is a lot easier to visualize if the motion is linear, instead of rotational. And again you already have seen examples, although you probably never thought of them in this way. Next time you watch TV, try to visualize what is happening to the points of light on the display when the camera zooms in on a scene. The points of the scene all start moving outward and away from each other, as though they were on the surface of a (huge) expanding balloon. This happens simultaneously in the vertical and horizontal dimensions. Note that this motion is just ONE motion of the two-dimensional linear type (I personally have a lot of difficulty trying to think of it as two separate vertical and horizontal motions). This could be called "scalar motion"—motion that has no direction. It is simply an "outward" or "away" type of motion, and can be described with one number like +1. The expansion of the Universe is a similar scalar motion, except that it is ONE motion of the three-dimensional linear type. It is also regarded as centerless.
Using Microsoft Windows on a computer suggests another analogy. To enlarge a viewing window you can use the familiar click-and-drag operation on an edge. This will enlarge one dimension of the Window at a time. You can also click-and-drag on a corner and enlarge two dimensions (height and width) all at once. In other words you can enlarge a Window by using two, one-dimensional motions (drags), or one, two-dimensional motion to produce the same effect. Note that there are four corners and therefore (more generally) four ways to apply the motion. This reasoning can be extended to enlarging a cube by using three, one-dimensional motions or one, three-dimensional motion. But note that the cube has eight corners and eight ways of applying the motion to produce the same effect. (The numeric magnitudes are important when figuring out how the effects of intrinsic spin present themselves to a spatial reference system.)
The intrinsic spin of the atom opposes the general expansion of the Universe and results in a phenomena that we call gravitation. It is likewise a scalar motion, but in this case it is a motion that is "towards" (i.e., decreasing spatial separation) rather than "away". Unfortunately, in the case of two objects, like iron balls, we tend to view gravitation as two separate motions, the motion of A towards B, and the motion of B towards A. But in reality, it is ONE motion. An "antigravity" device acting on A will decrease the motion of A towards B, but it will also instantaneously decrease the motion of B towards A. There would be no propagation effect because there is only ONE motion that is affected.
The inverse square forces, commonly known as electric, magnetic, and gravitational forces, all have different underlying scalar dimensions when treated as motions. Electric appears to be one-dimensional, magnetic is two-dimensional, and gravitational is three-dimensional, or at least has a three-dimensional distribution. A factor of c (the speed of light) would be expected to appear when relating one type to another. The relationship between electric and magnetic field intensity, for example, would be expected to be E = c B, which is in fact the case. There should be another relation like, E= c2m which relates the strength of an electric field to that of a gravitational field. However, the only thing that appears on the scene is E= mc2 which expresses a relationship between energy and mass. It is not clear whether this dilemma results from a poorly framed question, or is a result of the mess of problems and inconsistencies in gravitational and electromagnetic theory. (see table for another instance of the c factor) See also Unit Energy .
Spin is at the very foundation of certain features of quantum mechanics. It offers us a conceptual basis for the de Broglie wavelength, the all-important interference effects, the Heisenberg uncertainty principle, and a poorly understood effect I will call "localization". Crucial to the understanding of these properties is the idea that spin does not exist independently, but is intimately interrelated to translational motion. The (charged) electron has been the most studied in this respect:
"The fact that "spin effects" appear in plane waves implies that one should not regard "spin" as an independent kinematical property of the electron, but rather as an essential aspect of its translational motion." —Introduction to Quantum Mechanics, Chalmers W. Sherwin, 1959, p. 300
More recent studies of the Dirac electron theory by physicist David Hestenes have led to similar conclusions:
"The Dirac equation has a hidden geometric structure that is made manifest by reformulating it in terms of a real spacetime algebra. This reveals an essential connection between spin and complex numbers with profound implications for the interpretation of quantum mechanics. Among other things, it suggests that to achieve a complete interpretation of quantum mechanics, spin should be identified with an intrinsic zitterbewegung."
. . .
"A related mystery that has long puzzled me is why Dirac theory is almost universally ignored in studies on the interpretation of quantum mechanics, despite the fact that the Dirac equation is widely recognized as the most fundamental equation in quantum mechanics. . . . I hope to convince you that Dirac theory provides us with insights, or hints at least, that are crucial to understanding quantum mechanics and perhaps to modifying and extending it. Specifically, I claim that an analysis of Dirac theory supports the following propositions:
(P1) Complex numbers are inseparably related to spin in Dirac theory. Hence spin is essential to the interpretation of quantum mechanics even in Schroedinger theory.
(P2) Bilinear observables are geometric consequences of rotational kinematics, so they are as natural in classical mechanics as in quantum mechanics
(P3) Electron spin and phase are inseparable kinematic properties of electron motion (zitterbewegung)."
Later, in a section about spin and Zitterbewegung ("jittering motion"), he offers this comment:
"At last we are ready to grapple with the most profound insight and the deepest mystery in the real Dirac theory: The inseparable connection between quantum mechanical phase and spin! This flies in the face of conventional wisdom that phase is an essential feature of quantum mechanics, while spin is a mere detail that can often be ignored. We have seen that it is a rigorous feature of real Dirac theory, though it remains hidden in the matrix formulation." (Annales de la Fondation Louis de Broglie, Volume 28 no 3-4, 2003, "Mysteries and Insights of Dirac Theory", David Hestenes, 2003; all italics are his; see also http://www.ensmp.fr/aflb/AFLB-283/aflb283p367.pdf , http://modelingnts.la.asu.edu/pdf/MysteriesofDirac.pdf , http://modelingnts.la.asu.edu/pdf/ZBW_mod.pdf , http://modelingnts.la.asu.edu/pdf/Kinematic.pdf )
If you want to know more about David Hestenes' insights, please consult the references. I am simply trying to point out that physicists recognize an intimate connection between spin, translational motion, the de Broglie wavelength, and quantum mechanical phase.
Such connections would be expected. In the space/time ratio interpretation, intrinsic spin is a continuous change of direction instead of position, but it qualifies as a "motion" nevertheless. The motion causes it to not participate in the general expansion "nothing datum" of the Universe that I have described in Advanced Stellar Propulsion Systems. The result is a "not-nothing" entity that moves with multidimensional linear motion just like that of our familiar gravitational reference system, and such an entity can therefore come to rest in the context of that system. The (charged) electron (4p spin system) is an example.
If it also moves with an additional ordinary motion, it acquires a de Broglie wavelength (l = h/p). Note that the wavelength is inversely proportional to momentum which has the space/time dimensions of t2/s2 and not velocity, which has the dimensions of s/t. Momentum is regarded as the product of mass and velocity. In space/time dimensions, that is p = mv or t2/s2 [=] (t3/s3)(s/t). This is important because temporal motions are non-directional in the spatial reference system.
When an electron moves towards a so-called "scattering center", its temporal description is "re-emitted" or "updated". (For our purposes a scattering center is some kind of spatial discontinuity; it might be a dust particle in air or a tiny hole in a metal film.) The re-emission is necessarily non-directional and is conceptualized as a spherical wave spreading out in all (spatial) directions. Physicists use the term "Huygens wavelets" to describe this situation. You can see drawings of them in almost any introductory college physics textbook.
If the electron is directed towards a hole in a thin metal foil, the points around the edge of the hole (the entire circumference) serve as multiple scattering centers (we will say millions of them). This results in multiple re-emissions and multiple spherical waves. (Remember that the temporal description is anywhere/everywhere in the spatial system; three o'clock in the kitchen is also three o'clock everywhere else in the house. Hence, the single temporal description can be "reused" multiple times on multiple scattering centers.) If the hole is large compared to the de Broglie wavelength, the envelope of all the wavelets looks like one hemispherical wave on the other side of the hole. The wavelets can also be thought of as producing an interference pattern, but if the hole is large, the pattern is so fine and lacking in contrast that it is normally not visible.
If the hole size is smaller and more comparable to the wavelength, the interference pattern becomes coarse and is readily seen. A stream of electrons will build up an exposure pattern on a phosphor screen downstream from the hole that looks like a bullseye archery target (the so-called "Airy disc" is the bright central spot; for a vivid visual simulation of this effect see http://www.kw.igs.net/~jackord/df/d1.html . Run the Circular Aperture simulation by selecting a d value and then clicking Run. For example, select d=0.4 and then click the Run button )
If the hole is rectangular (a slit), instead of circular, the same arguments apply, but the pattern appearing on the screen with be that of a slit, not a hole. The image will be surrounded by rectangular "diffraction fringes" instead of the archery target pattern. (All ordinary images are actually formed by diffraction; see Optical Physics, Lipson, Lipson, and Tannhauser, 3rd ed., Chapter 12)
If the round hole is made still smaller, it becomes essentially one scattering center, and the illumination beyond the hole becomes (guess what) very uniform and very dim. This is because each electron will be scattered in a completely random direction.
So when an electron is diffracted from a hole, its momentum acquires a spread in values. Each electron tends to move radially away (perpendicular) from the original line of motion to various extents. The amount of uncertainty in this direction is directly related to the size of the hole and the de Broglie wavelength. The math reduces to the following:
Dx Dp > h/4p
which is the well-known uncertainty relation. As the hole closes down (Dx decreasing) the radial spread of the momentum increases ( Dp increasing) and the stream of electrons illuminate a larger and larger area on the screen beyond the hole. Note that the formula refers specifically to momentum, not velocity; the latter has a "path" and is not particularly important in quantum mechanics; also, because of spin, momentum and velocity are not necessarily collinear; momentum or "quantity of motion" is a better fit to the problem.
As pointed out above, the diffraction occurs even when electrons (or photons) are sent into the apparatus one-at-a-time. There is no way to predict where any individual electron will go; but the overall diffraction pattern which builds up after a long exposure is very predictable and very definite. The overall pattern is determined by quantum mechanical phase, and that, as Hestenes has pointed out, is linked to spin.
Interference arises from the phase of the wavelets combining constructively or destructively. In quantum mechanics the various phases are described mathematically and then are summed to allow them to interfere. The square of the resulting amplitude is taken to get the probability density that an electron will appear in a particular place. These are the "matter waves", "pilot waves", or "probability waves" that you read about in the literature of quantum mechanics. They are usually diagrammed as transverse waves, but keep in mind that "There is no evidence that matter waves actually consist of transverse vibrations." (Sherwin, p. 297; for that matter, there is no evidence that there is even a "propagation velocity" associated with matter waves or de Broglie waves)
These non-physical, abstract, mathematical matter waves give us a description where the electron is most likely to be found, or most likely to be absent. But the math alone does not give us a clue about the underlying reason or mechanism. In a transverse wave like a water wave, the most water will be found where the wave height (amplitude) is highest. In a longitudinal wave like a sound wave in air, the most particles will likewise be found where the amplitude is highest. But matter waves aren't anything "physical" as far as we know. Why is the "whereness and thereness" or "localization" of an electron described so effectively by a heap of abstract mathematics?
We suspect that it has something to do with spin, but unfortunately the exact mechanism has so far eluded description. When we talk about electrons getting together or avoiding each other, the word "spin" (instead of charge) enters the conversation. Two electrons can have only two spin orientations with respect to each other: parallel or antiparallel. There are no intermediate values or orientations. These orientations somehow affect what I call "localization". Here is an an example that has to do with Fermi holes and Fermi heaps:
"Because of the quantum mechanical effect of spin correlation, two electrons with the same spin cannot be found at the same point. Thus, a plot of the probability of finding a second electron relative to the location of the first falls to zero at zero separation. . . . There is a corresponding decrease in amplitude of the wave function for the location of the second electron, and that wavefunction is close to zero in a small region surrounding the location of the first electron. This region of almost zero amplitude is the Fermi hole in the wavefunction of the second electron.
If the two electrons have opposite spins, there is an enhanced probability of finding the second electron close to the first. That is, instead of a Fermi hole, there is a corresponding Fermi heap . . . which is an enhanced amplitude in the wavefunction of the second electron wherever the first electron happens to be at any instant." (Quanta,: A Handbook of Concepts, P.W. Atkins, 2nd ed. (1994), p. 122-123; see also http://quantum.bu.edu/notes/GeneralChemistry/FermniHolesAndHeaps.html ; "Wonder conductors will spin up cooler computers", Catherine Zandonella, Aug 2010, http://www.newscientist.com/article/mg20727751.400-wonder-conductors-will-spin-up-cooler-computers.html?full=true )
"From photon bunching to electron antibunching", Christian Schönenberger (Jan. 2003) http://www.nanoelectronics.ch/publications/papers/2003/SSOM-2003.pdf
http://pages.unibas.ch/phys-meso/Research/Papers/2002/Electron-Antibunching-PhysWorld.pdf
Finally, this is probably a good place to remind readers that our concepts of space and time come from motion. Motion is what we actually observe and measure. Our concepts of space and time are derived from the type of motion we observe. Motion is the primary concept (the basic "substrate"), whereas space and time are secondary concepts (or abstractions). Think of a box. The box has an "inside" and an "outside", but these are secondary concepts. They are not needed to construct a box; but if the box already exists, the concept of an "inside" and "outside" can then be defined in terms of the box. Without the box, the concepts cannot be defined.
See also:
"Time is derived from motion through timeless space", Amrit S. Sorli,
http://www.fqxi.org/data/forum-attachments/TIME_IS_DERIVED_FROM_MOTION.pdf
"Forget Time", Carlo Rovelli, 2008
http://www.fqxi.org/data/essay-contest-files/Rovelli_Time.pdf
For additional articles about time see: http://www.fqxi.org/community/essay/winners/2008.1 Note, however, that these articles have a major limitation: they do not address the question of space. How does space originate? And is space real or illusory? If it is real, then what is THE MOTION (the substrate) that "generates" (for lack of a better word) the common everyday "space" that we all experience? Motion is a ratio of space and time; whatever philosophical arguments apply to the denominator could also (somehow) apply to the numerator! Understanding this is crucial to understanding reference system effects. (My own views can be found in Origin of Intrinsic spin (below) and Advanced Stellar Propulsion Systems )Moreover, when trying to understand a given physical phenomenon, we need to determine what kind of inherent motion we are observing, and what kind of reference system we are using to view the motion. What we actually observe is a combination of the physical phenomenon itself and the effects of the reference system. Viewing translational temporal motion from the standpoint of a linear spatial reference system leads to the apparent paradoxes in Special and General Relativity, for example. On the other hand, the concept of rotational spatial motion leads us to a better understanding of the electron as a unit of rotational space, and to a better understanding of concepts in electrodynamics. All of these are discussed in some depth in Advanced Stellar Propulsion Systems.
In Quantum Mechanics the spatial component of motion is fixed at one unit, and so quantum mechanical motion can be translational temporal motion or rotational temporal motion . The latter leads to the concept of, literally, "rotational time". If you were accessing a world of rotational time, what would that world look like? Besides expecting it to be non-local, you would also expect it to be repetitive or periodic. So it is not surprising that the math of quantum mechanics involves many periodic functions like sine and cosine, complex exponentials, and various "wave" representations. These too are indeed the "effects of spin".
The concept of spin, along with the concept of temporal motion, could probably explain all the major mysteries of quantum mechanics in a satisfying way if we could just shake ourselves loose from our current blindspots and misconceptions.
__________
On a side note, I should say something about the terms "uncertainty" and "indeterminancy." These have acquired various meanings over the years (see summary). I prefer to use the term "indeterminate" in reference to how a temporal motion maps into a spatial reference system. Conceptually, it either has no position, direction, state, etc. or an infinite number of simultaneously existing potential positions, directions, states, etc., that can be "superposed". One of these potential states will materialize during an interaction with the spatial system. An act of measurement, for instance, forces the temporal phenomenon to participate in the spatial system.
"Uncertainty", on the other hand, seems to have more to do with the product of two quantities equating to a constant. The uncertainty in their values is inversely related, and consequently I sometimes use the term "inverseness" to emphasize this aspect. See article.
Zitterbewegung : "An oscillatory motion of an electron suggested in some interpretations of the Dirac electron theory, having a frequency greater than 4pmc2/h . . . or approximately 1.5 x 1021 hertz" (McGraw-Hill Dictionary of Scientific and Technical Terms, 5th edition, 1994)
"Electron time, mass and zitter", David Hestenes, 2008. Hestenes_Electron_time_essa.pdf ; http://www.fqxi.org/community/forum/topic/339
"In general, the momentum p is not collinear with the local velocity v = v(x), because it includes a contribution from the spin." ("Mysteries and Insights of Dirac Theory", David Hestenes, p.9 http://modelingnts.la.asu.edu/pdf/MysteriesofDirac.pdf See also: O. Costa de Beauregard, “Noncollinearity of Velocity and Momentum of Spinning Particles,” Found. Physics 2: 111–126 (1972)).
html 1/05
The article Advanced Stellar Propulsion Systems proposed that the "nothing datum" for the physical universe consists of ratios of space and time expanding in three linear dimensions. These innumerable units of nothing are quantized, are all independent of each other, and move at the speed of light (the ratio). Collectively they are the source of the properties of space and time which are familiar to all of us, and define the datum for an empty but physical universe. Now, how can this universe become populated with "not nothings" or "things"?
To simplify matters, let's imagine a scaled down universe of one dimension. Lets create a "flow field" of "nothing datums" that moves right-to-left as shown in the illustration below (left). These units are all independent of each other. We could also imagine another flow field that goes top-to-bottom (not shown). These units are likewise independent of each other and are also independent of the right-to-left units. Through an Act of Creation let's borrow one of the top-to-bottom units and attach it to a right-to-left unit. Furthermore, let's assign the top-to-bottom unit the property that no matter which way the right-to-left unit goes, the unit that was originally a top-to-bottom unit always remains perpendicular (and in the same plane) to the unit that was originally right-to-left. The result of this is shown in the diagram below (right).
The original right-to-left unit now moves in a circle. The speed of the (original) right-to-left unit remains constant, but its direction is changing at a constant rate. This altered unit no longer progresses with the linear flow of the general "nothing datum" because it is constantly and uniformly changing direction. The orthogonal motion has resulted in rotation, and this is a drastically different behavior.
Let's pause now and note the presence of some concepts that seem to be quietly imbedded in this picture that are especially relevant to Quantum Mechanics. A physicist would probably see the following almost immediately:
a. The picture embeds the concept of Intrinsic Spin. Shrink the circle down to a point and you have "pure spin" with no translational motion. Physicists use the term "intrinsic spin" to refer to what seems to be a particle's rotational motion that is inherent in its very existence, not because some part of it is actually spinning.
b. The picture embeds the concept of Uncertainty. A small circle has less uncertainty in location than a large one. If you dropped a coin and knew it was within 50 feet of you, its position is known with more certainty than if you knew it was within one mile of you. In the picture, more orthogonal motion shrinks the circle. The development below will use additional orthogonal motion in additional dimensions. Massive particles like atoms and molecules have multiple rotating systems, which implies even more orthogonal motion. The positions of atoms can be precisely localized.
c. The picture embeds the concept of simple harmonic motion and wavelength. Two linear, but inherently orthogonal, motions result in circular motion. A projection of circular motion results in a harmonic oscillation. A harmonic oscillation with yet another perpendicular linear motion imposed, results in a sinusoidal wave trace. Such "transverse waves" have been used to describe electromagnetic waves, de Broglie waves, and the abstract "matter waves" of Quantum Mechanics.
A projection of circular motion results in a back-and-forth
harmonic motion, which, when projected in an
additional dimension, results in a sinusoidal wave trace
See also Wave or Particle?d. The picture intrinsically connects rotation with linear motion. As mentioned in the preceding section, quantum mechanical spin is intimately connected with translational motion. The orthogonal motion can apply only to an already existing motion. But in the reference system we commonly use, objects can be stationary. The wavelength effects (diffraction, interference) become apparent only when the object is moving. The combination of translational motion and inherently orthogonal motion is the origin of intrinsic spin and the de Broglie wavelength.
e. The picture embeds the concept of a "location" or a "locality." In physics we need the concept of "position." This is how we are are going to get it.
f. The picture embeds the essence of quantum mechanics: xp - px = ih/2p. In this well known commutation rule, the h is Planck's constant and implies quantized momentum. The i is a mathematical notation representing orthogonality. The x and p are position and momentum respectively. Because they are orthogonal, the combination of x and p implies angular momentum. (Remember that the uncertainty relation of the photon and electron diffraction experiments, Dx is perpendicular to the line of travel (momentum) of the photon or electron. It is not a Dx along the path but represents a deviation from the path.) See Quanta: A handbook of Concepts, 2nd ed., 1991, "Operators", p. 252. See also Commutation and Angular Momentum below.
A rotation can also be expressed as V = i Z where Z is the complex position vector and i is the initial velocity. See Visual Complex Analysis, Tristan Needham (1997) p.11-12; in a nut shell, the motion is described parametrically using t as a parameter. So
Z(t) = eit . Z is the position vector of the particle, and so then dZ/dt is the velocity . Hence V = iZ. The speed is always equal to 1 and always at a right angle to the position vector. This is the geometric form of Euler's formula: eiq = cos q + i sin q .g. No concept of "direction" has been intoduced here. What has been added is a "dimension of linear motion", NOT a "dimension of direction". In effect, we have added an exponent to the dimension of motion. Everything is still scalar at this point. The concept of directions, vectors, and components arise only in connection with a reference system.. See "Beyond Einstein: non-local physics" ( https://www.researchgate.net/publication/309533409_Beyond_Einstein_non-local_physics ) for a deeper treatment of non-directional motion.
Let's continue with the original line of reasoning. At this juncture we have a circle, and it has become stationary in one dimension of the flow field. Let's add more dimensions, both for flow, and for orthogonal motion.
If we create a second flow field that moves INTO the paper, the circle will be swept away into the paper. The circle has a definite diameter and we are using it to represent a rotation with a certain speed. If we give the circle a phase mark, we can see the rotation. The mark will trace out a helical path (like threads on a screw) as the whole combination moves in this new dimension going into the paper. (this may remind us of the Zitterbewegund of electron motion.)
If this circle is now given another rotation in the new dimension, it will become stationary in TWO linear dimensions of flow. The circle now has the form of a sphere, and the sphere becomes stationary in the two dimensional flow field.
We could compare the first (one-dimensional) case to a bunch of transparent race cars on a big field. The cars represent the "nothing datums" and are moving from right-to-left. The individually applied orthogonal motion makes some of them turn and go in a circular path. These "new locations" become manifest in an otherwise featureless flow field. Adnother analogy would be the creation of a vortex in a flow of water.
For the second case, imagine a little piece of paper (or maybe a little steel ball) on the surface of an expanding balloon. The expanding surface represents the two-dimensional flow field (again, remember that there are two dimensions of flow, not just two dimensions of position or two dimensions of extension). The piece of paper is the thing with the two dimensions of orthogonal motion. It is not carried along with the surface expansion. If there were two such pieces of paper, they would not participate in the expansion but would maintain the same distance from each other even as the surface of the balloon is expanding. (This analogy is somewhat misleading, however. The expanding balloon surface is ONE two-dimensional motion. Likewise, the bits of paper each have ONE opposite two-dimensional motion, instead of two one-dimensional motions, to oppose the expansion.)
As explained in a preceding section, nature has something akin to these two types of rotation. They are the 2p and 4p rotations in Quantum Mechanics. The 2p rotation can be visualized as a disk. It represents one dimension of rotation. The 4p rotation can be visualized as a sphere. The latter represents ONE (single) two-dimensional rotation. (Because this is hard to visualize, I illustrate it as though it were a combination of two rotations, but the concepts are not identical.) These rotations can be used to infer the structure of photons, massless particles, and atoms, as will be done below. But for now just think of them as part of a conceptual exercise.
Let's add a third dimension of flow. The flow field is now like a room full of compressed air that has leaky, porous walls. As the air thins out, the air molecules become increasingly distant from each other. The action is like a centerless expansion. Our "spherical location" is being swept along in the third dimension. We impose yet a third rotation on it. If it follows the previous pattern, we would expect this to be an 8p rotation. But no such thing has ever been found in nature. Apparently, what is possible is only a rotational distribution. This does not have the same fundamental character of the 2p and 4p rotations. It is not ONE three-dimensional rotation. Instead, it is apparently a two-dimensional rotation with an additional rotation added on to it. The extra rotation brings the particle to a full stop (spatially) in the expanding flow. (The lack of an 8p rotation is apparently the "loophole" that permits the development of antigravity technology; this suggests that manipulation of angular momentum at the atomic level will be required for antigravity/levitation effects; this could possibly be done directly with atoms in a gas, or by doing the equivalent with electric and magnetic fields, which puts the affected atoms in a different kind of space/time flow environment. See also Tesla comment).
If the rotations are in space, the time flow continues to progress, and carries the particles (atoms, we shall say at this juncture) with it. Although the atoms are stopped in space, they continue to move apart in time. How will this look to an observer in a spatial reference system? In a conceptual system based on space/time ratios, more time separation equates to less spatial separation. This means that the particles will be coming together in space. Note that the original spatial motion was actually stopped by a rotation; this "extra" spatial motion is caused by the progression of time. We shall call it temporal motion (also known as time-like motion, non-local motion).
How do motions in three-dimensional time manifest themselves to an observer in a three dimensional spatial reference system? If we gave a marble or a coin spatial motion, we know exactly what we would see. But what would we see if we gave it temporal motion? We can surmise the following characteristics:
1. Temporal motion is motion in three-dimensional time, not space. Hence this kind of motion cannot have a spatial path or a spatial trajectory. We are looking for some sort of "motionless motion." This implies either "motional potentials" or a "disappears-from-here, reappears-over-there" kind of phenomenon.
2. Temporal motions can have no directional preference in a spatial reference system. Temporal motions are in a world of "when" instead of "where." Additionally, in a spatial reference system, time has only a magnitude (no direction or location; but it does seem to have a "polarity": forwards or backwards).
3. Temporal motions are "non-local" (a consequence of #2). Hence, temporal motion must be infinite in (spatial) extent. The motion would also appear to have an infinite propagaton speed in space. (All that means "instantaneous action at a distance"; for more on these points see: The Problem of Quantum Locality , Speed of Gravity, Speed of Electric Fields )
4. Temporal motion is actual motion and must express the theme of "motion" somehow, even though it is still "motionless motion." In other words, we would expect that temporal motion would still manifest traits of momentum, energy, work, power, action, etc., although these manifestations could be very different from the more familiar spatial traits.
What we seem to have is a description of a force field, specifically a gravitational field in this case. If we have two iron balls with this kind of motion:
1. The motion clearly has no particular spatial path or trajectory. In fact, we usually think of gravitation as a force that causes motion, not motion itself. (If the motion were actual, rather than potential, it could move from "here" to "there" but without traversing the intervening space)
2. The motion (or force) clearly has no directional preference. The balls can have any relative orientation and the motion is still simply "towards." It is indifferent to north, or south, or east, or west, or above, or below (as is time). In this sense it is "scalar motion" —motion that has no inherent direction, only a magnitude.
3. Gravitational motion (or force) is normally understood as extending to infinity (or out to a quantization limit).
4. There is clearly a connection with the theme of motion here. The usual technical term is a potential for motion. There is also a theme of "perpendicularity" inherent in this kind of motion. See Motion Cancellers and also Motion Couplers for some illustrations.
Due to its inherent lack of direction, temporal motion has an inverse square distribution as seen from a spatial reference system (like light from a light bulb, the intensity of it falls off rapidly with distance). Also, a group of objects possessing such motion will be indistinguishable in the character of their motion. If there are three such objects in a line, and the center one moves "towards" another, it must also be moving "towards" all the others. This is in contrast to spatial motion where the object would be seen as moving towards one location, but away from another. Spatial motion has a direction and a magnitude (is "vectorial"). Temporal motion has a magnitude but no direction (is "scalar"). See Advanced Stellar Propulsion Systems for additional details, and the slide below about a characteristic of gravitational motion.
Note that this picture of gravity has no need for "graviton" particles that supposedly mediate gravitational forces. The picture is also not compatible with the concept of "gravity waves" that propagate at the speed of light (and without propagation delays, there is no way to "triangulate" the source location). The same reasoning that applies to gravitational force fields would also apply to electric and magnetic force fields. Such force fields are not mediated by particles or waves.
Besides gravitation, there are also electric and magnetic force fields. These are also directionless and follow the inverse square law. In passing we might note the following:
1. Electrical charges have a non-directional motional distribution and are thought of as potentials instead of actual spatial motion. There is a "scalar potential" from which an electric field is derived, and a "vector potential" from which a magnetic field is derived. These characteristics imply temporal motion.
2. Temporal motion can be "towards" or "away". (This may be analogous to our intuition that time flow has "polarity" (forwards or backwards) but no inherent direction.).
3. Charges appear to be created in pairs. Symmetry and conservation arguments imply the simultaneous creation/presence of both a "towards" motion and an "away" motion.
4. The two kinds of motion imply "poles" of some sort with opposite polarity. Electric poles can be on separate objects (monopolar). Magnetic poles are always on the same object (dipolar).
5. A temporal motion may consist of one, two, or three dimensions of time progression. All "three flavors" are non-directional in a spatial reference system, but the intensity of the motions, as seen from the spatial system, will correlate with the dimensions of the time progression. A one-dimensional time progression will map into a spatial system with full intensity, whereas a two-dimensional time progression will be reduced by a factor of the speed of light.
6 Charges do not have a de Broglie wavelength. Particle wavelength is dependent only on Planck's constant and particle momentum. Lack of wavelength implies either a lack of momentum, a lack of "sufficient rotation", or a non-local effect. Charges must therefore have a simpler space/time structure than photons, massless particles, or massive particles like atoms. It could be argued that charges are more akin to a "situation" than they are to "things."
7. Charges are always attached to something. They do not exist independently. This implies that they are a modification of an already existing space/time relationship.
8. Charge modifies the gravitational motion of a particle. Each particle in a collection of gravitating particles, is pursuing its own independent course, namely, "anti" to the expansion of the general progression of space/time. None of the particles "knows" what the other particles are doing, nor are they attracting each other. Charge modifies this type of motion, but the motion still retains the aspect of independence.
This independence of motion is very non-intuitive upon first encounter. So picture this illustration. An advertiser sets up a big flashing sign in the middle of town that says "win something free here". Many people like "winning" and many like getting something "free". The advertisement "pulls in" a lot of people of like mind, but it may also "repel" others who do not like this kind of thing. In any case, the people are responding separately and independently to the advertisement, not to each other.
Similarly, particles will have a like-kind of motion if they have a like-kind of spin modification relative to one reference system. Two electrically charged pith balls seem to recognize each other and respond to each other. But if we put a powerful, stationary magnet near the charged pith balls, they seem not to respond to the magnet at all. The magnet, however, responds to the presence of another stationary magnet. Our perception is that these objects really seem to sense each other's presence, provided they have a nature of the same kind.
The reference system here is not the invisible flow field described above, but is now a collection of visible objects. We think they are stationary, but this gravitational reference system of our ordinary everyday experience is not only moving, it is accelerating (which is why your feet, chair, and desk remain pressed against the earth). In other words we are immersed in a non-intuitive reference system which we mistakenly think is simple and intuitive at a fundamental level. If you don't believe this, you can get into my Mustang and I'll accelerate it at 9.8 m/sec2 while you conduct physics experiments in the back seat. Taking the seat as "stationary" and ignoring the acceleration, you will get some very non-intuitive and puzzling results during your experiments. You will probably also wonder about the claims of "zero point energy" as you see the scenery outside flying by you in the "stationary" Mustang.
9. Gravitational motion at the quantum mechanical level has a lot to do with interatomic bonding and the physical "state" (solid, liquid, gas) of matter. A "spin flipper" type of motion canceller could conceivably change the state of matter. That is, solid matter would have one dimension of its "towards" motion momentarily cancelled, and would therefore act like a liquid for an instant. This implies that antigravity technology could have some troublesome side effects, and that the "disintegrator beams" of science fiction might be not so farfetched after all. However, the ability to induce a "liquid state" at ordinary temperatures would be a metallurgist's dream come true. And it could be handy in mining, tunneling, and building demolition/construction. (See also Ray guns, Nuclear Isomers, Rydberg Atoms and Melted atoms or a melted aggregate? ; Some readers might be interested in electric pulsed power rock disaggregators: http://hackaday.com/2010/10/23/marx-generator-knocks-our-rocks-off/ )
10. As is suggested in The Atomic Spin System (below) atoms are made of "shells" of these basic spins. The spins may be 2p or 4p, and may be rotations in space or rotations in time (which must be built upon a net spatial rotation). The Periodic Table indicates that each atomic number associates with two 4p spins and one 2p spin as a set that is built upon a previous set. The sets ("subshells) can interact with one another and give rise to quite a variety of physical properties, including spin-spin and spin-orbit coupling. They may be considered individually (j + l) or as a whole (J+S). The outer set of spins is probably the source of chemical valence and stereochemistry. Inequalities in the energies of the 4p spin systems apparently result in what are called "shape isomers", "hyperdeformed nuclei" and "nuclear isomers". There is also a possibility that "instantaneous chance alignment" of (multiple rotating) subshells in the 4p systems might somehow be a factor in radioactive decay time intervals; if so, it should be possible to both increase or even decrease radioactive decay rates by the use of external magnetic and electrical fields. One would also wonder if this kind of rotation in the 2p systems could replace the supposed "quantum jumping of electrons", the supposed "explanation" of emission of visible radiation from the atom; the Stark effect and the Zeeman effect show that external fields can affect the character of the radiation. (See Extending radioactive half-lives Update 2-27-04 , Update 11-11-06 ; "Maria Goeppert-Mayer, the Nuclear Shell Model, and Magic Numbers", http://www.osti.gov/accomplishments/mayer.html )
11. In the illustration above, if the original rotation was in time, with space still progressing, the ultimately resulting "atom" would be localized in three-dimensional time (instead of three-dimensional space). Such atoms would gravitate temporally and form temporal stars and galaxies. But these could not be seen as discrete objects by observers in a spatial reference system because time is non-local in such a reference system. Instead, with space still progressing, they would be seen from our standpoint as a sea of "particles" having an extremely isotropic and homogeneous spatial distribution, and moving at the speed of light and with high energies. They would also possess some sort of "inverse mass" and "inverse chemistry". (Cosmic rays seem to have these characteristics. )
12. The original combination of orthogonal motions that results in rotation does not occur spontaneously in the picture presented above. If it did, the Universe would ultimately fill up with "stuff" that it self-creates automatically (matter, antimatter, and photons). This implies that we live in a finite Universe that has been created, and which has a fixed amount of matter-energy. We would not expect to see true, actual violations of the principle of conservation of matter-energy (even occasionally) in such a Universe.
Hopefully this section will clarify the origin of what physicists call "intrinsic spin", as well as the more fundamental concept that I call "intrinsic rotation". An accurate and detailed understanding of spin is crucial to understanding and feeling comfortable with practically everything in Quantum Mechanics and Quantum Electrodynamics. It could also lead to some startling practical applications.
"Long ago he recognized that all perceptible matter comes from a primary substance, or a tenuity beyond conception, filling all space, the Akasa or luminiferous ether, which is acted upon by the life-giving . . . creative force, calling into existence, in never ending cycles, all things and phenomena. The primary substance, thrown into infinitesimal whirls of prodigious velocity, becomes gross matter; the force subsiding, the motion ceases and matter disappears, reverting to the primary substance. Can Man control this grandest, most awe-inspiring of all processes in nature?" Prodigal Genius Biography of Nikola Tesla, by John J. O'Neill (July 1944) http://www.bibliotecapleyades.net/archivos_pdf/tesla_prodigal_genius.pdf
"Maxwell . . . . Like all physicists of his day he believed firmly that space was permeated by a subtle substance called the ether and that electromagnetic phenomena could be accounted for in terms of rotating vortices in this ether." ( Physics, Halliday, Resnick, an Krane 5th edition (2002) p. 870 )
Other historical ideas about the ether and vortices:
"Beautiful Losers: Kelvin's Vortex Atoms", Frank Wilczek (2011) http://www.pbs.org/wgbh/nova/physics/blog/2011/12/beautiful-losers-kelvins-vortex-atoms/
The Ether and Its Vortices, Carl Frederick Krafft (1955) http://books.google.com/books/about/The_Ether_and_Its_Vortices_Carl_Frederic.html?id=6-MMtwAACAAJ
"Carl Frederick Krafft" http://users.navi.net/~rsc/krafft.html
Further, there are indications that spinning an ordinary object may have effects on inertia and mass. See:
"Von Braun’s 50-Year-Old Secret", http://www.enterprisemission.com/Von_Braun2.htm (Presents observations and conclusions about rotating spacecraft effects, DePalma's spinning ball experiment, and the Harold Aspden effect.)
"The German approach to antigravity", http://igorwitkowski.com/The-German-approach-to-antigravity.pdf
"Towards a new test of general relativity?" http://www.esa.int/About_Us/GSP/Towards_a_new_test_of_general_relativity , "the measured field is a surprising one hundred million trillion times larger than Einstein’s General Relativity predicts."
"Anomalous Weight Reduction on a Gyroscope's Right Rotations around Vertical Axis of Earth", H.Hayasaka, S. Takeuchi, Physical Review Letters, issue 25/1989 http://earthtech.org/experiments/tajmar/papers/p2701_1.pdf
"Possibility for the existence of antigravity: evidence from a free-fall experiment using a spinning gyro", Hideo Hayasaka, Haruo Tanaka, Toshiyuki Hashida, Tokushi Chubachi and Toshiki Sugiyama (Speculations in Science and Technology 20, 173-181 (1997) http://www.earthtech.org/experiments/tajmar/papers/Hayasaka%20-%20Possibility%20for%20the%20Existence%20of%20Anti%20Gravity_Evidence
%20from%20a%20Free-Fall%20Experiment%20using%20a%20Spinning%20Gyro.pdf"Gravitational Effects of Rotating Bodies", Yuan-Zhong Zhanga, Jun Luob, and Yu-Xin Niec. Mod. Phys. Lett. A 16 (2001) 789–794 http://arxiv.org/pdf/gr-qc/0006075.pdf
"Null Result for the Violation of Equivalence Principle with Free-Fall Rotating Gyroscopes" J. LUO , Y. X. Nie, Y. Z. Zhang, Z. B. Zhoua (June 20, 2001 ) https://www.researchgate.net/publication/1964678_Null_Result_for_the_Violation_of_Equivalence_Principle_with_Free-Fall_Rotating_Gyroscopes (contrary evidence)
DE4017474A1[1].pdf http://worldwide.espacenet.com/?locale=en_EP
https://en.wikipedia.org/wiki/Gyro_monorail
http://www.freepatentsonline.com/WO1999036696A2.pdf
http://en.wikipedia.org/wiki/Einstein%E2%80%93de_Haas_effect
http://en.wikipedia.org/wiki/Barnett_effect
Spinning discrete objects a high speeds ultimately presents insurmountable structural problems. But it is possible to electromagnetically spin heavy ion plasma at many millions of revolutions per second. Related info:
"From Single-Particle to Superdeformed: a Multitude of Shapes in MERCURY-191 and a New Region of Superdeformation", Ye, Danzhao (1991) Dissertation Abstracts International, Volume: 52-06, Section: B, page: 3125.
"Superdeformed bands in 150Gd and 151Tb: Evidence for the influence of high-N intruder states at large deformations" P. Fallon, A. Alderson, M.A. Bentley, A.M. Bruce, P.D. Forsyth, D. Howe, J.W. Roberts, J.F. Sharpey-Schafer, P.J. Twin, F.A. Beck, T. Byrski, D. Curien, C. Schuck Pages 137-142 Physics Letters B, Volume 218, Issue 2, Pages 119-262 (16 February 1989) [The article says that in some element isotopes, the values of dynamic moments of inertia are high at low spin speeds and decrease rapidly at high spin speeds Gadolinium150, Terbium151, but for others (Dysprosium) they are almost constant.]
"Nuclear Moments of Inertia at High Spin, M. A. Deleplanque (1982) http://www.osti.gov/bridge/servlets/purl/6593868-XcDoVC/6593868.pdf
Also:
"Design considerations for the drive system of an ultra-high speed spinning ball motor" C. Wildmann, T. Nussbaumer, J. W. Kolar http://www.pes.ee.ethz.ch/uploads/tx_ethpublications/SPEEDAM_1304_1_.pdf
"New Spin Record Set: 1 Million rpm" http://www.livescience.com/3075-spin-record-set-1-million-rpm.html
David Hudson Lectures. http://www.asc-alchemy.com/hudson.html See "David Hudson: Sakarov's theory of gravity"; this whole document is a wild but interesting read. The physical and chemical claims about ORME (Orbitally Rearranged Monoatomic Elements) are both hard to believe and hard to ignore. Another source makes this comment:
The implication here is that there is an entirely new phase of matter lurking about the universe. This form (phase) of matter is comprised of monatomic elements; a heretofore unknown form (phase) of matter. They have remained unknown for so long because they are inert and undetectable by normal analytical techniques.
How could it be that a small percentage of the earth's matter could be comprised of material which heretofore has been completely undiscovered? It has to do with the theory of analytical chemistry. None of the detection techniques of analytical chemistry can detect monatomic elements. They can only detect elements by interacting with their valence electrons. Because the valence electrons of monatomic atoms are unavailable, the atoms are unidentifiable. To detect a monatomic element requires that you first convert it from its monatomic state to its normal state to allow the element to be detected with conventional instrumentation. As a result, this phase of matter has existed as a stealth material right under the noses of scientists without detection until very recently. http://www.crucible.org/monatomic_elements.htm
For more on element transmutations see "Some thought provoking issues". Also, remember gravitation and chemistry are ultimately related to atomic spin systems. It is conceivable that alteration of the spin systems (say by the addition of temporal motion, or different spin arrangements (see Rotations of Rotations) ) could cause certain atoms to become chemically "inert", reveal anomalous gravitational behavior, change in aggregate density, or even disappear from the reference system. The commonly used "gravitational, spatial reference system" is actually a subset of a more general one that is based on "momentum" or "motion", not spatial displacement from an artificial zero. Altered atoms may not be able to participate fully in such a specialized reference system (which works quite well for humans, but lacks physical generality. See Utilization of Non-local effects and
In Search of the Geometry of Space, Time and Motion ) .Related: Some speculations regarding the weakness of the gravitational force
A Fun Fact about the Coulomb Constant
". . . The constant 2.306 x 10-28 newton-m2/(elem. ch.)2 tells us directly the force between two elementary charges one meter apart. They exert just 2.306 x 10-28 newton on each other. No doubt that force looks absolutely negligible. But in fact it is huge. The gravitational attraction between two hydrogen atoms at this distance is about 2 x 10-64 newton. The electric force between two elementary charges is 1036 times as big. . . . The force is so big that two moles of elementary charge (two collections of 6 x 1023 charges) placed one on each side of the earth would push on each other with a force of half a million newtons —50 tons. Two moles of the heaviest atoms placed at opposite ends of a diameter of the earth would have no appreciable gravitational effect on each other." Physics, Physical Science Study Committee, 2nd ed., 1965, D. C. Heath and Company, part IV Electricity and Atomic Structure, p. 500)
A Fun Fact about de Broglie Waves
"These properties of relativistic invariance led de Broglie, before the discovery of quantum mechanics, to postulate the existence of waves . . . associated with the motion of any particle. They are therefore known as de Broglie waves." ( The Principles of Quantum Mechanics, P.A.M. Dirac, 4th ed, 1958, p. 120)
Gravitational motion has multiple dimensions
Slide #37 from "Quest for the Stardrive"
Unpublished slide from "Quest for the Stardrive"A comment on slide #37: According to Einstein's Relativity, the photon does not experience the flow of time. It therefore cannot have a trajectory. Yet scientists freely manipulate photons as though they do have a trajectory. This requires that the trajectory actually be a result of the reference system motion (e.g., a laboratory on Earth). But for this to work, the fundamental motion of the Earth must be isotropic (non-directional) in all three dimensions of space. Slide #37 shows that it is. The other requirement is that the Earth must be moving at the speed of light. This will work out ok too if the claim is made that the Earth is moving at the speed of light in time. This causes all things on Earth to move to a new time location, even though the spatial location remains fixed. Conveniently, temporal motion is non-directional in a spatial reference system. If attached to an object like a planet, it will have a motional potential proportional to 1/r2 (just like gravity) due to its spherical distribution. Temporal motion is also "non-local" (action-at-a-distance, another characteristic of gravity). And . . . this kind of motion is non-vectorial and cannot be detected by a Michelson-Morley type of experiment.
All of this takes care of the problem of photon spatial trajectory and spatial motion. But is the photon also stationary from the standpoint of temporal trajectory and temporal motion? Remember, these trajectories and locations cannot be seen in a spatial reference system. However, there is an effect which can give us some insight on this problem. If two photons are generated in the same event, they are "quantum correlated" , that is, generated in the same temporal location. As the EPR "paradox" suggests, these particular photons remain in the same time location even though the spatial locations in the laboratory frame may become widely separated. This is consistent with the claim that photons are stationary in time.
Hence, as bizarre as it may seem, in the fundamental picture, photons are stationary in both space and time.
For more insights on this wierd kind of motion see ../4v4a/ADVPROP.html#ScalarMotionJumper
Return to Scriptural Physics Home Pagehtml 8/05d
When I was a kid I kept looking for illustrations of the photon (also known as light and electromagnetic waves) in physics textbooks. I wanted to know what the structure of the photon was, and how it managed to move through a vacuum. The usual textbook model of the photon is that of an electromagnetic wave which has time-varying electric and magnetic fields that are at right angles to each other, and both of which are perpendicular to the direction of propagation of the wave. For a while I accepted this model because it seemed to make sense in the context of my experience. In those days one of my hobbies was amateur radio. Inside a radio transmitter there is a thing known as a "tank circuit". It consists of an inductor and a capacitor connected in series or parallel. The capacitor stores electricity in the form of an electric field, and the inductor stores it as a magnetic field. Because they are connected together, they discharge electricity back and forth into each other in an oscillatory form. When the capacitor is losing its electric charge, the magnetic field in the inductor is gaining strength, and vice versa. A tank circuit is needed because the "carrier" in a radio wave is a smoothly oscillating electromagnetic wave, but the circuits which generate this wave are most efficient when the power is delivered in pulses. The tank circuit is used to smooth out these pulses. The effect is much like that of a parent pushing a child on a swing. The parent delivers the power in pulses, but the overall effect is smooth oscillatory motion.
And so I thought that light was a kind of energy like that in a tank circuit. It tossed energy back and forth in the form of electric and magnetic fields and it moved because these fields were leapfrogging over each other, pulling each other along . But I became dissatisfied with this model for two reasons. The first was that most analytic descriptions of the photon were presented in terms of the electric field; the magnetic field was practically ignored. I began to get the impression that this "electromagnetic" thing was basically an "electric" thing. And secondly, I noticed that in the diagrams, the magnetic field was always exactly in phase with the electric field. That destroyed my concept of leapfrogging fields. And when I finally came across the E=cB equation, I realized that the magnetic field was a result or an effect of the motion of the electric field through space at the speed of light. (The lack of leapfrogging fields inplies that there are no energy exchanges within the photon; energy transfers occur only on emission or absorption.)
Related item: "In classical physics, light possesses both
an electric and a magnetic field. . . .“What our study
demonstrated was that light can have both an electric
and a magnetic field, but not at the same time."
"Light on quantum mechanics", (June 7, 2012)
http://phys.org/news/2012-06-limits-classical-physics.html"What appears as a magnetic field in one coordinate system
is nothing else but an electric field when viewed in some
other coordinate system." (Special Relativity,
A.P. French (1968) p. 235My concept of the photon then became something like that of the "electric vector" presented in the textbooks. This can be visualized as a little arrow that starts out with zero length, grows to some definite length and points upward, shrinks back to zero, and then grows in the downward direction to the same length and then shrinks back to zero again. This cycle repeats indefinitely. Its motion, which is entirely a separate issue, is perpendicular to the arrow. The tip of the arrow therefore traces out a sine wave. This model seemed to explain phenomena like interference, diffraction, and linear polarization.
Later, I learned that photons carry momentum and can exert an impact force (albeit a very small one) when they strike an object. They can also carry angular momentum and exert a torque when striking an object. The latter property caused me a lot of conceptual confusion. It is easy to picture an electric vector rotating as it moves, and its tip tracing out a helix like the threads on a screw, and that this twisting motion could exert a torque on the object it hits. But this seems to require two sine waves oriented perpendicularly and with a 90 degree phase difference. This could easily be accomplished with a stream of photons which combine in such a way as to produce a resultant electric field that rotates as it progresses. But individual photons possess angular momentum. Furthermore, photons have a quantum mechanical property called "spin". The electric vector concept thus became inadequate, even confusing. Photons seemed to involve some sort of "twoness" and also the property of intrinsic rotation.
Moreover, transverse waves, like waves on the surface of the ocean or waves on a rope attached to a doorknob, exert forces that are in line with the up-and-down motion of the wave. A ship on an ocean wave goes up and down, and the reaction on the doorknob with a transverse wave on the string, is also up and down, not in or out along the line of the string. A transverse electromagnetic wave (light), however, exerts its momentum along the direction of its travel, not in the direction of the waveform itself. This produces phenomena like the photoelectric effect, in which electrons are kicked out of the surface of metals when struck by light, and radiation pressure which is used to compress the hydrogen in the hydrogen bomb, or "wind" for solar sails on spacecraft. The electric vector model was not very good at explaining this.
And I realized I had not a clue about how the photon moved. The equation E=mc2 suggested that the photon was a definite, discrete physical entity, just as definite as mass, and was therefore NOT a "disturbance" or a "wave" propagating through space like waves on a string or rope. Photons clearly did move, but this did not seem to be a property of the photon itself. (I later concluded that photons are actually stationary!)
I realized that intrinsic rotation cannot be portrayed in a linear extensional reference system, except by projecting the rotational magnitude along the line of the reference system. This is done mathematically by using what is variously called a dot product, inner product, or scalar product (usually taught in a first year college calculus or vector spaces class). The inner product concept is well utilized in quantum mechanics. After playing around with the rotations, I came up with the following model:
It is simply TWO one-dimensional rotations that are orthogonal. They are structurally coupled (for lack of a better term) but are otherwise independent. Note that this is not the same thing as the ONE two-dimensional rotation discussed above in the previous section (the 4p rotation). The two rotational magnitudes of the photon have to be independent because phase shifts and changes in rotational magnitudes are required (phase is to the world of rotation what position is to our everyday world of extension). I doubt if this is physically possible with the 4p system, even though the math is similar.
This model accounts for linear, circular, and elliptical polarizations just as per the text books ( see for instance Optics, Eugene Hecht, 2nd ed. Chapter 8, "Polarization") It is consistent with the following properties of photons:
Plane polarization: In this case, the two sinusoidal components are in phase and of equal magnitude. The electric vector therefore has a fixed orientation but varies sinusoidally in length. Plane polarization is also known as linear polarization. In the conventional wave representation, linear polarization can be regarded as the superposition of two circularly polarized waves of opposite sense.
Circular polarization: In this case, the two sinusoidal components have a 90 degree phase difference. The electric vector therefore rotates but has a fixed length. Its tip traces out a circle. As the photon advances, the tip traces out a helix. In the conventional wave representation, circular polarization can be regarded as the superposition of two linearly polarized waves at right angles and 90 degrees out of phase. (See also: Radiation from a charge in circular motion)
Elliptical polarization: In this case, the sinusoidal components have a phase difference other than 0 or 90 degrees and may also have different magnitudes (represented by the diameter of the circles). The electric vector rotates and varies in length. Its tip traces out an ellipse.
Optical anisotropy: In an optically anisotropic medium the speed of one spin will be retarded more than the other. The retardation is caused by the intrinsic spins of the transparent medium (such as calcite) through which the photon passes. This will cause the phase of the two spins to shift. If the photon entered as plane polarized, it could emerge as circularly polarized if the phase shift is 90 degrees (such a shift can be deliberately caused by a 1/4 wave plate).
Optical activity: In this case the intrinsic spins of asymmetric molecules (such as common sugar) can cause axial rotation of the entire photon. This is equivalent to a momentary rotation of the electric vector. When the photon emerges from the transparent medium, its polarization plane will have been rotated through some angle.
Linear momentum: The one dimensional rotations have no mass effect because gravitational motion requires a three-dimensional distribution of motion. However, the photon motion does have a distribution in the dimension of its travel, and therefore will have what could be called a "one-dimensional mass effect" . This should account for the linear momentum and zero rest mass conventionally ascribed to the photon.
Angular momentum: Circularly polarized light can exert a torque on an object or an atom. The explanation for this is probably the same as that presented in the textbooks. See Feynman, op. cit., vol 3, p. 17-10, and others.
Atomic absorption/emission: If the entire photon structure depicted above is given a third rotation perpendicular to its direction of travel, it presumably would acquire a gravitational-like motion. This means that photons could be absorbed by atoms or molecules, and that the atoms would acquire an "excited state" as a result. This type of rotation however, is still "foreign" to the atom and the photon may be re-emitted. If the photon is energetic enough (approximately 931 MeV) its rotational system could convert to the atomic system of rotation and materialize as actual mass.
- Spin: Circularly polarized photons can trace out a left or right handed helix as they travel. This corresponds to a spin state of ±1.
Other properties ascribed to photons actually have more to do with the concept of locality than with the photon itself. A couple of these were discussed in the Advanced Stellar Propulsion article. A summary is offered here for completeness:
Constancy of the speed of light: Photons have a location both in three-dimensional space and three-dimensional time. These locations progress outward and away from each other (increasing space and increasing time separation). The photon has no independent motion relative to this progression and in this sense they are stationary and not propagated as a wave motion. Atoms of matter move "anti" to the progression and so we see the photon moving at the speed of light. The photon will appear to traverse both space and time and this will result in a constant speed. Even when treated as a wave motion, the speed of the photon is still unique. See Exploration of the Universe, Abell, Morrison & Wolff, 5th ed., 1987, p 217-223 for a good discussion of this unique property.
"There is no physical phenomenon whatever by which light may be detected apart from the phenomena of the source and the sink . . . Hence from the point of view of operations it is meaningless or trivial to ascribe physical reality to light in intermediate space, and light as a thing travelling must be recognized to be a pure invention." --The Logic of Modern Physics, P. W. Bridgman
It is easy, at first, to conceive of light as travelling in intermediate space, just as ordinary things do. But consider phenomena like Young's double slit interference experiment with one photon at-a-time going through the slits. An intereference pattern is still produced, and the photons go where they cannot classically travel. This behavior is still "inconceivable" to modern-day physics. ("Where is the way to the dwelling of light? . . . That you may take it to its territory And that you may discern the paths to its home?" Job 38:19-20)
EPR Paradox: If two photons originate in the same event, they will remain in the same temporal location, even though their spatial locations become widely separated. An experimental action imposed on one photon will result in a complementary action being imposed on the other photon, even though it might be miles away spatially from the first photon. Scientists call this problem "non-locality", "action-at-a-distance", "over-connected Universe", "entangled states", etc. ("Hyper-Entangled Photon Pairs" http://www.aip.org/pnu/2005/split/754-1.html ; http://en.wikipedia.org/wiki/EPR_paradox )
I hope this photon model will prove to be a substantial improvement over the ones I have used in the past.
See also: "On De Broglie’s Double-particle Photon Hypothesis", André Michaud, Senior Researcher, Canada, J Phys Math 2016, 7:1 https://www.omicsonline.org/open-access/on-de-broglies-doubleparticle-photon-hypothesis-2090-0902-1000153.pdf
__________
Afterword: The photon structure described above is one that has been derived from the Periodic table. I have wondered if this "atomic photon" structure is truly irreducible, or whether an even simpler version of the photon exists. For example, a radio frequency version of this photon could be created with an antenna system that has two physically crossed dipole antennas fed 90 degrees apart in electrical phase (temporal phase). The dipole antennas would be at the back of the illustration, with their axes both perpendicular to the direction of photon propagation. Either dipole will emit radio waves (photons), although both are required for circularly polarized radiation. This raises an obvious question: what kind of photon do we get with only one dipole? This implies that a photon can consist of a single rotation. Do photons come in two versions or just one? Is there both a "single dipole" version and a slightly more complicated "crossed dipole" version?
Previously I had believed that the photon has no independent motion relative to the expansion of space/time. Yet the Origin of Intrinsic Spin discussion seems to imply that the photon may "gravitate" in at least one dimension. That would be consistent with the fact that photons possess momentum and with the concept of equivalent "rest mass" used by physicists. In this view, a photon is simply an even "less massless" version of massless particles (which "gravitate" in two dimensions instead of the three used by atoms; either sort of massless particle will still be moving through a gravitational reference system at the speed of light). Answers to these questions may also give some insights about the origin of Bose-Einstein statistics.
To acquire mass, the photon structure would have to acquire an additional rotation perpendicular to its travel, and then another rotation perpendicular to that combination. Is this possible? Well, maybe:
"Researchers create new state of light; Findings published in international journal Nature Photonics"For 20 years, researchers have studied how light rotates around a longitudinal axis parallel to the direction light travels. But could it move in other ways? After two years of research, and thanks to a sabbatical, University of Dayton researchers Andy Chong and Qiwen Zhan became the first to create a new “state of light” — showing it also can rotate around a transverse axis perpendicular to the direction light travels, like a cyclone."Spin in unpolarized light defies conventional picture", Anna Demming (21 Dec 2020) Optical Physics https://physicsworld.com/a/spin-in-unpolarized-light-defies-conventional-picture/ , https://www.nature.com/articles/s41566-020-00733-3
https://udayton.edu/news/articles/2020/02/qiwen_zhan_andy_chong_nature_photonics.php ; "Generation of spatiotemporal optical vortices with controllable transverse orbital angular momentum." Chong, A., Wan, C., Chen, J. et al. Nat. Photonics (2020). https://doi.org/10.1038/s41566-020-0587-zPhysicists’ understanding of spin has evolved over the past 10 years thanks to the proposal (and later experimental corroboration) of transverse spin – that is, spin on an axis perpendicular to the direction of light propagation. . . .This photon would still be moving at the speed of light in our reference system. It needs a third rotation to become manifest as mass.
Another annoying little conundrum is the mass of the neutrino. The existence of the neutrino was originally postulated to solve the conservation of energy problem implied by the continuous, rather than discrete, energy spectrum observed in beta decay. The massless neutrino is the "missing" particle that carries away a variable amount of energy in beta decay, and this allows the energy spectrum to be continuous, as actually observed. But how can neutrino energy be variable? Neutrinos have no mass, and move at constant speed (the speed of light). So what is it that can change? Energy is momentum times the speed of light (E= pc). As we have seen, photons have momentum, but no mass. But their energy is variable because the photon frequency is variable (E=hf). But this scheme does not seem to work for the neutrino because of spin quantization. So we are left with a mystery:"The laws of QM dictate that only particles with mass can change flavors, so the neutrinos must have mass, which “seems” to be 100,000 million times lighter than a proton. Physicists still have no idea how neutrinos can have mass." http://www.paradigmshiftnow.net/fundamental_reality/spinning_einstein_sum.htm
I don't know the answer to this question either (and the question about flavors might itself be flawed). But here is some food for thought. In an illustration above I noted that gravitation is an inherently three-dimensional scalar motion. The illustration below it contrasts the difference between scalar and vectorial motions (using only one dimension for simplicity). The neutrino is only capable of inherently having two-dimensional scalar motion, and therefore necessarily moves at the speed of light relative to a gravitational reference system. Perhaps what were are seeing is the neutrino's intrinsic two-dimensional motion combined with an extrinsic linear (ordinary) motion. This should result in a very small "mass-like" motion analogous to that of a gravitational reference system. Hence, the neutrino itself could actually be massless, yet display a variable momentum, and therefore energy. (See also my attempt at answering the question, What is a particle?) (BF Note: There seems to be a misconception here which has been resolved. See "Beyond Einstein: non-local physics", 2nd ed., pages 5-6; https://www.researchgate.net/publication/334075961_Beyond_Einstein_non-local_physics_2nd_ed or https://www.academia.edu/39708452/Beyond_Einstein_non-local_physics_2nd_ed._ )
Circular polarization results from imposing two orthogonal electric oscillations with a 90 degree (time) phase difference. What would be produced if a third rotation could be imposed upon this circular oscillation? See Poynting Vector Insights and Rotations of Rotations to get some ideas.
See also The Atomic Spin System below and Radiation from a charge in circular motion .
and
"Intuitive Concepts for Atomic and Photon Spin Systems"
https://www.researchgate.net/publication/338293585_Intuitive_Concepts_for_Atomic_and_Photon_Spin_Systems
https://www.academia.edu/41485052/Intuitive_Concepts_for_Atomic_and_Photon_Spin_SystemsIf you have a comment about this photon model please see: Broad and Spacious vs. Narrow and Cramped
photon model test (VB6 source files, photon.zip)
"You are the light of the world" —Matthew 5:14
Some Light Amusement
Sunstone navigation:
http://www.polarization.com/viking/viking.html , sky photo
http://www.polarization.com/compass/compass.html
http://www.polarization.com/haidinger/haidinger.html
The above example might need some clarification. Each photon has an angular momentum of h/2p, and its angular momentum is independent of frequency. Photon energy, however, is proportional to frequency (E = hf). A one megajoule pulse of radio frequency photons must therefore have many more photons than a one megajoule pulse of visible light photons. The radio frequency pulse will therefore exert much greater angular momentum than the visible light pulse.
Lately, questions have been raised about photon spin being independent of frequency:
"However, an experimental verification of the photon spin of electromagnetic radiation of very great wave lengths has not yet been accomplished. Nevertheless today the value of the photon spin is considered constant throughout all wave lengths. The question is if the photon spin with growing wave length and with a photon mass approaching zero can retain the constant value h/2p.
For this reason we set ourselves the goal to measure the photon spin of radio waves. Thereby we also had to use a macroscopic measurement method of the angular momentum (scattering of circular polarized radio waves by a thin aluminum disk), since methods of measurement using atomic physics are not possible with very large wave lengths.
To our astonishment our experimental examination of the spin of radio wave photons (wave length 0,7m and 2m) showed no measurable spin, even though the attained accuracy of measurement was well beyond the expected value of h/2p.
These measurements led to a publication which we offer here as a free download for private purposes only. Irrespective of this the copyright as described in the book remains valid! (The Deutsche Bibliothek registers this publication in the Deutsche Nationalbibliographie. ISBN 978–3–00–026287–6) download link (new: may 2011): https://rapidshare.com/files/2224682399/PhotonenspinMessung.pdf " http://www.photonenspin.de/
(The Photon Spin – A Natural Constant? Measurement Of The Photon Spin Of Low Energy Photons of Radio Waves, Alexander Krebs and Christoph Krebs, 2008)
See also Radiation from a charge in circular motion and Inverseness, Complementarity, and the Wave/Particle Duality
(For yet another twist on light see "Light With Orbital Angular Momentum" at http://www.aip.org/png/2005/229.htm , http://www.aip.org/pnu/2005/split/721-3.html ; http://www.laserfocusworld.com/articles/print/volume-53/issue-03/world-news/quantum-optics-light-with-extremely-high-orbital-angular-momentum-has-exquisitely-fine-structure.html
Please review the above sections titled Some Thoughts about Intrinsic Spin and The Photon Spin System before reading this section.
If the atomic rotational system is based on combinations of 4p and 2p intrinsic spins then the Periodic Table suggests how these spin systems might be structured. The number of elements on each row of the Periodic Table are commonly displayed as 2, 8, 8, 18, 18, 32, 32. This can be expressed as the following pattern:
2x12 =2
2x22 =8
2x22 =8
2x32 =18
2x32 =18
2x42 =32
2x42 =32
This makes a total of 118 elements.
The proposed interpretation of this pattern is as follows:
- The exponent of 2 implies a two-dimensional rotation (the 4p intrinsic spin system). Allowable magnitudes appear to be 1, 2, 3, and 4. (There is also a vague suggestion of the Pythagorean theorem: m2 = n2 + n2 or = 2n2 See PythagoreanProblem ).
- The fact that there are generally two rows with the same squared term (e.g.: two rows use 32 ) implies that there are two such 4p spin systems in the atom, and that they are orthogonal (independent).
- The periodicity implies a "missing row" based on 12 .This "row" would contain two "subatoms" or particles that are "less than atomic". They are based on the 4p intrinsic spin system, and they are part of the periodicity, but simply do not have the properties of mass and chemistry.
- The 2n2 terms can be viewed as lump sum quantities —entire rows as a whole.
- The n2 terms imply the existence of an n type of term. This would be the 2p intrinsic spin system. Whereas the 2n2 terms correspond to rows, the "plain n" type of term would correspond to individual elements within a row. (This, incidentally, also implies the existence of two more subatomic particles based on the 2p spin system.)
- The 2 in front of the n2 may imply some kind of plus and minus effect (or opposite space/time sense). In other words, a distance of 2n2 would be interpreted as going from -n2 to 0 to +n2
The last point, and its problems, require some elaboration. If an intuitive J picture of atomic structure is to be developed, a zero would be a nice number to place at the inert elements. A series of 4p spins and zero 2p spins would get us to the end of a row on the Periodic Table. This in fact corresponds to the inert gases. The atomic number, element name, and mathematical pattern can be given as follows:
2 Helium 2(1)2
10 Neon 2(1)2 + 2(2)2
18 Argon 2(1)2 + 2(2)2 + 2(2)2
36 Krypton 2(1)2 + 2(2)2 + 2(2)2 + 2(3)2
54 Xenon 2(1)2 + 2(2)2 + 2(2)2 + 2(3)2 + 2(3)2
86 Radon 2(1)2 + 2(2)2 + 2(2)2 + 2(3)2 + 2(3)2 + 2(4)2Addition of another 2(4)2 takes us to element 118, the last member of the Periodic Table.
Note that the above table consists only of 4p spins. The effect of the 2p spin will thus be to "walk across the rows" and fill in the other elements between the inert elements. But a difficulty becomes apparent. The inclusion of a zero term creates 2n2+1 terms for a row, instead of the 2n2 actually shown in the Periodic Table. Although the zero is nice to have, we now have to get rid of an "extra" element somehow.
Let's back up a bit and play with some possibilities—the kind you would scribble out on a napkin while waiting for your order at a restaurant. Hmmmm . . . Maybe the pattern goes like this:
Li Be B C N O F Ne
1 2 3 4 3 2 1 0
This pattern produces the required number of 8 elements. It also produces a zero at the inert gas Neon. But the pattern also raises some obvious questions. Why count up to carbon and then back down? And what (numerically) would distinguish B from N, or Be from O, or Li from F?
A scheme that uses both positive and negative numbers would be more natural, and would allow the numbers to be different. In this example, they would sweep from -4 to +4. Our second (or third, or fourth) guess might look like this:
Li Be B C C N O F Ne
1 2 3 4 -4 -3 -2 -1 0
This seems more elegant and symmetrical, but introduces new questions. Carbon is "something plus 4" as well as "something minus 4". This seems intuitively clumsy, and it gets worse with the other elements. Ytterbium would be "something plus 16" and "something minus 16". It is hard to believe that this kind of math would point to the same element.
However, an alternative to this situation would be to claim the rows in the Periodic Table actually split in the middle, not at the ends. If the magnitude of one of the 4p rotations goes up a notch in the middle of the row, then maybe we can subtract from it and end up with the same magnitude. This would mean that carbon is both "something plus 4" and "something bigger minus 4".
The splits would occur at Carbon, Silicon, Cobalt, Rhodium, Ytterbium and Nobelium. Mathematically these elements will have two forms. Whether this implies a subtle physical difference is not clear. Chemically, they would have to be indistinguishable in order to get rid of the "extra element" caused by the use of +/- numbers for the 2p term. But physically they could be space/time allotropes or space/time tautomers.
In this picture, the Periodic Table and the "ordinary" subatomic particles can be specified by a set of three numbers, {n1, n2, n3}. Both n1 and n2 specify the magnitudes of the 4p spin systems and can take on values of 1,2,3,4 (but not in an arbitrary order). The third term, n3, specifies the magnitude of the 2p spin system and can take on values ranging from -n2 to + -n2 , including zero.
A word of caution: The scheme presented above is very foundational and corresponds to the Periodic Table at absolute zero and with no isotopes, isomers, charges, ionizations, radioactivity, etc. The pattern is based entirely on atomic numbers, not atomic masses.
The subatomic particles introduced as the "missing row" at the top of the Periodic Table, present additional challenges. None of these particles would have mass, (i.e., the "towards motion" in all three dimensions; without this motion, the particles would be moving at the speed of light in one or more dimensions). Presumably, these subatomic particles would all be stable (there is nothing in the picture to suggest they would be unstable).
Available candidates seem to be the electron and positron for the 2p spin system and the neutron and neutrino for the 4p spin system.
The electron and positron could be viewed as massless if the charge is actually an additional rotation (or some kind of motion) which would distribute the 2p rotation in the other dimensions. This would cause a small mass effect to become manifest. We normally think of electrons and charge as inseparable, but electric wires can carry considerable current and yet do not bristle with static electricity. A buss bar carrying 10,000 amps at 5 volts seems, electrostatically, like one that has no current at all. The uncharged form of the electron would therefore be the one that occurs within material aggregates and the charged one would be the one commonly seen in free space or on the surface of such aggregates. Similar arguments would apply to the positron, but the positron tends to disappear from the environment. Unlike the electron, atoms apparently have an unlimited capacity to absorb them.
Views on electron mass may be changing:
"Secrets of Tunneling Through Energy Barriers: How Massless Electrons Tunnel Through Energy Barriers in a Carbon Sheet Called Graphene" ; http://www.sciencedaily.com/releases/2011/11/111107155410.htm ;.
"Researchers Discover New States Of Electrons That Behave Like Light", ". . . the electrons behave as if they are without mass like photons, the tiniest unit of light" http://www.sciencedaily.com/releases/2008/07/080725152314.htm
"Nearly Massless Electrons in the Silicon Interface with a Metal Film", http://prl.aps.org/abstract/PRL/v104/i24/e246803
The neutrino seems to qualify "as is". It is massless, stable, and subatomic (no chemical properties). The commonly observed neutron, in contrast, is apparently not part of this picture. It is unstable and has mass. This leaves a place for an undiscovered particle. (If you are studying "cold fusion" and are missing some neutrons, I suggest you look here.)
__________
We could also play with the notational representation and see what we come up with. The first combination we attempt would be {0,0,0}. This denotes something composed of no 4p spins and no 2p spins. In other words, it is a non-entity, and is probably nothing more than a meaningless mathematical artifact.
The next set would be {0,0,-1} and {0,0,0} and {0,0,+1}. This too is probably meaningless. It includes the meaningless {0,0,0}and also has a +/- 1, which according to the rules implied by periodicity, is illegal. There has to be at least one full 4p spin before there can be a 2p spin. Said differently, there has to be an n2 term before there can be a range around it of -n2 to + -n2 (which of course includes a zero).
Hence, the first legitimate set seems to be:
{0,1,-1}
{0,1, 0}
{0,1,+1}The {0,1,0} entity is probably the "inert gas edition of the photon". According to the discussion on the photon spin system (above), the photon is composed of two one-dimensional (2p) spins. The {0,1,0} entity is composed of one two-dimensional (4p) spin. Reread that carefully. We could say that this is sort of a Periodic Table version of the photon, or a non-photon photon, ghost photon, stationary photon, etc. It is not an actual observable photon.
We have to guess what the {0,1,-1} and {0,1,+1} entities are. These would be ghost photons with an additional 2p rotation, and the two rotations are opposite in sense. It is very tempting to say that they are probably the electron and positron (or vice versa). There are also suggestions here of the annihilation/pair production reactions. But if this is the case, the {0,1,0}entity has to be a "nothing datum" of some sort (like the speed of light was, above). Otherwise, combining the {0,1,-1} and {0,1,+1} would result in {0,2,0}—another illegal combination according to the periodicity rules. But this might just be a notation problem. Maybe we should have used {1,0,0} for the ghost photon and then {1,0,-1} and {1,0,-1}for the other two particles. Combining them gets us back to {1,0,0} (the "nothing datum" in altered notation) which is at least a legitimate entity according to the periodicity rules. This would again be the ghost photon (one 4p spin).
Using the altered notation, the next set would be:
{1,1,-1}
{1,1, 0}
{1,1,+1}The {1,1,0} is probably the neutron. It is the subatomic particle counterpart of the inert gases. As mentioned before, it has to be massless and stable and cannot therefore be identified with the experimentally observed neutron. One of the other combinations is probably the neutrino, and the remaining one is apparently an undiscovered particle (another mystery for the "cold fusion" people to ponder).
The next set, again using the altered notation, would at first seem to be
{2,1,-1}
{2,1, 0}
{2,1,+1}but because n is now 2, the third number can range from -4 to +4. So the pattern is more likely:
{2,1,-4} ???
{2,1,-3} ???
{2,1,-2} ???
{2,1,-1} Hydrogen ?
{2,1, 0} Helium ?
{2,1,+1} Lithium ?
{2,1,+2} Beryllium ?
{2,1,+3} Boron ?
{2,1,+4} Carbon ?{2,2,-4} Carbon ?
{2,2,-3} Nitrogen ?
{2,2,-2} Oxygen ?
{2,2,-1} Fluorine ?
{2,2, 0} Neon ?
{2,2,+1} Sodium ?
{2,2,+2} Magnesium ?
{2,2,+3} Aluminum ?
{2,2,+4} Silicon ?We now seem to be getting into the actual Periodic Table. The {2,1,0} combination is probably Helium and the {2,2,0} is probably Neon. Note that the inert gases are in the middle of these two sets, whereas in the Periodic Table as commonly displayed, they are in the rightmost column. Allowing for this, the {2,1,+1}would be Lithium. The {2,1,+4} and {2,2,-4} would be Carbon. Note that Carbon occurs at the hoped-for "split in the middle" mentioned above. (The "something" is the 2,1 and the "something bigger" is the 2,2). Silicon will follow a similar pattern with {3,2,-4} being the other form.
But another problem becomes apparent. If {2,1,-1}is Hydrogen, what do the {2,1,-2}, {2,1,-3}, {2,1,-4} represent? More undiscovered subatomic particles? Some undiscovered elements? Another mathematical artifact? The {2,1,-4} is particularly disturbing. It seems to equate to {0,1,0}which takes us all the way back to the ghost photon. Apparently, the third number in this situation can only range from -1 to +4, instead of -4 to +4. An explanation for this will have to be found.
A picture of the atom, as described above, might be somewhat as shown. It consists of:
- two 4p spins (depicted as two spheres superimposed)
- one 2p spin (depicted as a disk)
an ellipsoid with a spin. This is the
"spinning football" model of the atom.
An EchoMaster radar reflector is normally hung from the mast of a
boat to increase radar visibility. Here, the three perpendicularly
interpenetrated disks illustrate another possible conceptual representation
for the atomic spin system. It is like the photon model with an additional disk.In conventional terms, "nuclear properties" are identified with the dual 4p spin systems and "atomic properties" (like chemistry, ionization) are identified primarily with the single 2p spin. There are no electron shells. The model consists entirely of intrinsic spin systems (space/time ratios that are changing direction, but not position). The trapping of gamma rays and massless particles will affect the shapes of the 4p spin systems. Changes in ordinary energies will affect the shape of the 2p spin system.
See also Ray guns, Nuclear Isomers, Rydberg Atoms for more about atomic shapes.
See also Rotations of Rotations for ideas about how these rotations might interact as a system.
Clearly, there is a lot more that must be worked out and explained. I can only offer a starting point and hope that atomic theory will some day return to common sense and offer models that are far more intuitive than those presently in use. (A "Summary of Experimental Evidence Which Should Be Represented by the Model" is given in The Atomic Nucleus by Robley D. Evans, 1955, under "Models of Nuclei", p. 357-358)
Commutation and Angular Momentum
Commutation and angular momentum are very important topics in quantum mechanics. But to discuss them, I have to first say a bit about operators, non-commutative mathematics, and commutators.
An operator is a mathematical symbol that specifies an operation (some kind of action) on its operands, which can be a simple number, a variable, or a function. For example, the + symbol is the “addition operator” as in 2 + 3 = 5. The x symbol is the “multiplication operator” as in 2 x 3 = 6. The symbol d( )/dx is the “differentiation operator” as in d(x2)/dx = 2x.
In quantum mechanics, the so-called “observables” are represented by operators.
“In classical mechanics one is accustomed to working with the distance x, the momentum p, the total energy W, etc. These are examples of quantities called dynamical variables. In the solution of practical problems one finds expressions involving these variables, which will give numerical values under any specified conditions.
In quantum mechanics the dynamical variables play a completely new role. They are converted by a set of rules into mathematical operators which then operate on the wave function Y" (Introduction to Quantum Mechanics, C. W. Sherwin, 1959, p. 13)
To create a quantum mechanical expression, we write the applicable classical expression and then convert it into the quantum mechanical version by making certain substitutions. For instance, we may have a situation where the expression for total energy (kinetic + potential) would be useful. Classically, it is expressed as:
To convert it into a quantum mechanical expression, all we need to do is make the appropriate substitutions. Usually, we can find these substitutions in any introductory book on quantum mechanics. They are often given in tabular form:
Dynamical variable: becomes this operator: x x f(x) f(x) px h/(2pi){ ¶ /¶x } W - h/(2 pi){ ¶ /¶t } These operators will “operate” on a wave function, Y, which is assumed to exist, and which is assumed to contain all that is knowable about the quantum mechanical system. We would then solve the resulting equation to get the particulars.
And so, in this example, we can write the substitutions into the classical expression for total energy. Wherever we find “x” (which classically means “x coordinate position” we put in “ x x ” (which in operator terminology, means “multiply by x”. The multiplication symbol is always omitted however, and so in the resulting equation, you will see just “x”; make a mental note that this is now an operator, not the usual kind of algebraic variable. The same applies to constants like h and i. However, time, in quantum mechanics is a parameter, not an operator, not an observable.) When we make the substitution for px (momentum along the x axis) we note that this term is squared, and so we have to square the expression that is substituted for it. We will assume that Y is some function of position and time and will write that aspect in the usual notation as Y(x, t) It all comes out as:
How did physicists arrive at these particular substitutions? Historically, it came down to noticing some strong clues, and to a lot of intuition and effort. The substitutions that worked were retained and the ones that did not were dropped. (There are also other substitutions applicable to relativistic systems, electrical and magnetic systems, and so forth.)
But let’s not get sidetracked. I just want you to know what an operator is at this point, and to get an inkling about how they are used in the mathematics of quantum mechanics. Our ultimate topic is commutation and angular momentum.
Operators, are, in general, not commutative. That means that when operators are applied to, say, a function, the final result will depend on the sequence of the operations. Applying operator A and then operator B, will give a result different from applying operator B and then operator A.
Let’s perform two identical operations on some term like “x2 +1” as an example and see what happens when we apply the operators in different sequence. We will use multiplication and differentiation because these are commonly used in quantum mechanics:
multiply by x, then differentiate by x:
x2 +1 gives x3 +x which then gives 3x2 +1differentiate by x then multiply by x:
x2 +1 gives 2x which then gives 2x2Obviously 3x2 +1 is not equal to 2x2. The order or sequence of the operations was important.
Mathematicians have a special word for the difference in these results. It is called a “commutator”:
“A commutator of two operators A and B is denoted [A,B], and is the difference AB-BA. The symbol AB means that operation B is performed first, and is followed by operation A; BA implies that A precedes B.
Two operators are said to commute if their commutator is zero. If a commutator is nonzero, the final result of performing two operations depends on the order in which the operations are done: operation A followed by operation B results in a different outcome from operation B followed by A. . . .
The importance of commutators in quantum mechanics comes from the identification of physical observables with operators, not all of which commute with each other. It turns out that if two operators do not commute with each other, then the observables they represent cannot be determined simultaneously. . . . The fact that some operators do not commute with each other is a principal factor underlying the differences between quantum and classical mechanics." (Quanta: A Handbook of Concepts, P. W. Atkins, 2nd ed.,1994, p. 60-61)
Angular momentum in quantum mechanics, it turns out, is defined by a set of commutation relations:
“In quantum mechanics, an angular momentum is most generally defined in terms of a set of commutation relations. Any set of observables represented by three operators that satisfy the commutation rule [jx,jy] = ihjz (and cyclic permutations of the subscripts) is called an angular momentum. (Quanta: A Handbook of Concepts, P.W. Atkins, 2nd ed.,1994, p. 8)
Customarily, the symbol j is used to denote total angular momentum, l is used for orbital angular momentum, and s is used for spin angular momentum. For our purposes we will use the following cyclic permutations:
[lx,ly] = ihlz
[ly,lz] = ihlx
[lz,lx] = ihlyFor completeness I'll include [l2, lq] = 0
The former can be written compactly in vector notation as:
l x l = ihl
But be careful here. Anyone who knows elementary vector algebra will tell you that the cross product of a vector with itself is always zero, not something like ihl. Again, remember, that despite the appearances, l is a vector operator, not a classical vector.
Ok. So what is the meaning of something like [lx,ly] = ihlz ? And why should we care? Consider the following diagram which shows two results of two rotational displacements that are performed in different order. The illustration is greatly exaggerated to show the effect, but the results are equally valid with small rotations. In the first sequence, point P on the surface is rotated around the x axis, say 30 degrees. This result (P1) is followed by a rotation around the y axis, say 60 degrees. Its final position is P2.
For the second sequence we start all over again at the original P. The second sequence rotates around the y axis first by 60 degrees (resulting in P3) and this is followed by a 30 degree rotation about the x axis (resulting in P4).
Then we evaluate what has happened. We see that the two final points do not coincide. In other words, rotational displacements are non-commutative. Furthermore, because the two endpoints end up at the same "latitude", the difference in the locations (P4 and P2) could be expressed as a small single rotation about the z axis. This small rotational displacement is the geometric equivalent of a commutator. It is the analogue of [lx,ly] = ihlz in quantum mechanics.
". . . the difference between two infinitesimal rotations is equivalent to a single infinitesimal rotation . . . about the z axis, which is geometrically plausible. . . . The reverse argument, that it is geometrically obvious that the difference is a single rotation, therefore implies that [lx,ly] = ihlz . Hence, the angular momentum commutation relations can be regarded as a direct consequence of the geometrical properties of composite rotations." (Molecular Quantum Mechanics, Peter Atkins, Ronald Friedman, 4th ed. p. 162)
This also seems like a convenient place to introduce the Pauli spin operators, which express the same idea:
Let's see what [Sx, Sy] evaluates to:
For this one you'll have to use the rule for matrix multiplication:
Hence:
Hence, [Sx, Sy] evaluates to 2iSz .
I hope this helps educate your intuition about commutators. But what is the significance?
". . . we shall say that an observable is an angular momentum if its operators satisfy these commutation relations. [main text] Because all the properties of the observables are the same, this seems to be an appropriate course of action. However the procedure does capture some strange bed-fellows. The electric charge of fundamental particles is described by operators that satisfy the same set of communication [sic] relations, but should we regard it—or imagine it—as an angular momentum? Electron spin is also described by the same set of communication [sic] relations, but should we regard it—or imagine it—as an angular momentum? [footnote]" (Molecular Quantum Mechanics, Peter Atkins, Ronald Friedman, 4th ed. p. 100-101)
What I hope you will get from this presentation:
1. That spin and angular momentum are very important in quantum mechanics. This reinforces my suspicion that composite rotations are the basis for the existence of all particles (photons, electrons, atoms, etc., —everything).
2. That complex numbers are used in spin operator representations, and that although spin "is a rigorous feature of real Dirac theory . . . it remains hidden in the matrix formulation". (Hestenes; See Effects of Spin )
3. That commutators for angular momentum have an intuitive geometric interpretation.
4. That quantum mechanical wave equations can be constructed from classical analogues.
5. The notion that the mathematical machinery of quantum mechanics is “too classical”, too indirect, and unnecessarily cumbersome.
The last point needs some elaboration. In The Origin of Intrinsic Spin I pointed out that rotations result in a difference with the linear progression of space/time, and that in turn creates a "thing" that may be observable. In the example given there, gravitation evolved out of the concept of fundamental rotations. The implication is that electrical, magnetic, and gravitational forces can actually arise from the "geometrical properties of composite rotations" (Atkins, as above). And within the “quantum realm” the forces are orientable (due to spin) and have an actual three-dimensional geometry (but it is in three-dimensional time, not space). These characteristics result in the existence of the whole Periodic Table and all the chemical relationships that are implied by it. It should be possible to calculate dipole and quadrupole moments, bond angles, bond energies, bond distances, transition and decay probabilities, and so on from very fundamental principles based on composite rotations. The methodology would state the problem directly in terms of s/t ratios), work out the solution with the operations inherent to that realm, and then translate the results back into the spatial reference system. This would seem to be a more direct approach than that currently used in quantum mechanics.
Both QM and QED are not actual physical theories, like, for example, Newtonian celestial mechanics. Instead, their development was guided by empirical principles. The math is "invented" and then experiments are consulted to see which math agrees with the experiment. This method produces math that can lead to practical results, but may also imply some concepts that are physically impossible, or way off into the weeds.
The Electron: New Theory and Experiment, David Hestenes, A. Weingartshofer (1991) p.2
See also the last few paragraphs of Inverseness.
Fun fact: In the Stern-Gerlach experiment if spin up (z+)and spin down (z-) beams are combined, they produce a spin polarization in the x-y plane not simply "spinlessness". ( Unfortunately, I cannot find the reference for this statement)
For the mathematically inclined, see also "How to Derive the Schrödinger Equation" by David W. Ward, Feb 2008 at: http://arxiv.org/PS_cache/physics/pdf/0610/0610121v1.pdf (One thing that I realized when reading this article is that the Schrödinger equation actually has the form of a diffusion equation, not a wave equation. A diffusion equation uses the second derivative of space, and the first derivative of time, whereas the classical wave equation uses the second derivative of space with the second derivative of time. Ref: Engineering Mathematics Handbook, Jan J. Tuma, 2nd ed., (1979) p. 210-211)
html 5/07
I would like to expand on the idea of intrinsic rotation and make the subject more intuitively accessible.
Try this. Hold a small tube (a fluorescent marker pen will do) in your hand between your thumb and fingers. Look down on top of the tube and then cause it to rotate clockwise by rolling it between your thumb and fingers (use both hands to keep it turning). Then lift it above your head and look upwards at the bottom. Even though your hands are turning it in the same direction, it now appears to be turning counter clockwise.
Now do this experiment again, except this time keep your viewpoint unchanged and instead rotate your hands at the wrists. For example, if you are using your right hand, roll the tube across your fingers by pushing with your thumb. Note that the rotation is clockwise. Now turn your wrist towards you so the thumb is downward (as though you were looking at a watch). Again push with your thumb to roll the tube across your fingers. Note that the rotation is now counter clockwise.
The next step is a bit harder to do. You must combine the two actions. Use thumb and fingers of both hands now to rotate the tube continuously in one direction, and while you are doing this, turn the tube end-over-end by turning your wrists as in the above step. Note that the ends of the tube seem to reverse direction, even though it is always being rotated in the same direction.
This simple exercise shows that what could be called a “rotational vibration” can be generated by two continuous rotations operating orthogonally and in series. I am using this term so the motion will not be confused with the “rotational oscillation” of say, a balance wheel in a mechanical wrist watch. A rotational oscillation is a single rotational motion that actually stops and reverses direction (repeatedly), whereas a rotational vibration, as defined here, is composed of two continuous rotations. See illustration below.
![]()
A tube is used here just for convenience. It is easily manipulated with thumb and fingers. But what we are really trying to visualize is how a rotating disk appears to rotate when its rotation axis is flipped continuously end over end. Additionally, instead of a thing that is rotating, we are trying to get some kind of intuitive feel for the rotation of a pure space/time ratio. These are not physical things in the usual sense. They are motions that are intrinsically a “direction” with no change of position. We saw what effects these have in the section above on Origin of Intrinsic Spin, and in the discussion prior to that of the 2p and 4p spin systems. These intrinsic rotations result in “motional potentials” or “force fields”.The only point I am trying to make here is that a rotational vibration will have force field effects that are different from two separate, non-interacting rotations. This construct simply is one possibility in a vastly complex repertoire of rotational combinations. How, or if, it fits into the atomic picture is not known. Maybe it has something to do with half-integral spins. Maybe it represents something with zero angular momentum. Maybe it is something “foreign” and easily detachable/convertible as when a nuclear isomer emits a gamma ray. I used the term "motionless motion" above in connection with temporal motion but this seems to be another oddity: "rotationless rotation". A 2p spin has a scalar time/space effect. I am not sure what effect this one has. Even though we may think of it as "zero rotation" it still is an association between space and time. Does it manifest itself as some kind of "folded up mass effect" (entire rungs of the Periodic Table) ? I just don't know.
Overtones of "rotationless rotation" show up frequently in descriptions of UFOs or UFO physics. The Nazi Bell "device ostensibly contained two counter-rotating cylinders" ( https://en.wikipedia.org/wiki/Die_Glocke ). The "flux liner" described by Mark McCandlish used a principle of counter rotation. ( https://youtu.be/9QNvZN7X7v8?t=1416 ) If two discs are placed coaxially with one above the other and are rotated in opposite directions, then the conventional angular momentum vectors cancel out. But fundamentally there is still rotation from a space/time (or time/space) standpoint (the word "scalar" comes to mind here). Could this be akin to a practical implementation of the 4 pi rotation?
Magnetic fields also have a built-in rotational aspect. The magnetic field (B) is the curl of the magnetic vector potential (A) (http://farside.ph.utexas.edu/teaching/em/lectures/node38.html ). Devices showing "bucking" (or opposition) of two magnetic fields often show up in the UFO and "free energy" literature.Comment: The illustration above depicts two orthogonal continuous interacting rotations. Is this the same thing as a 4p rotation? Apparently, it is not. The marker dot does not have to go around twice to get back to the same starting place. If these illustrations mean anything, the path of the dot would have to be on a single circular path that has the second rotation applied to the dot itself. In other words, the path would be that of a Mobius loop, rather than a plain circle. This still requires two orthogonal rotations, and the dot does have to go around twice to get back to the starting point. But I don't find this to be intuitively comfortable; I like to think of the 4p rotation as a sphere. But keep in mind that these diagrams attempt to illustrate something that cannot really be visualized. Intrinsic spin (or intrinsic rotation) is not a rotation of a "thing". It is purely a "direction" associated with an infinitesimal point.
A dimension of motion is (s/t)1 or (t/s)1. It does not matter dimensionally whether the motion is rotational or linear. The rotational vibration seems to be composed of TWO of these one-dimensional motions which interact. This is not the same thing as ONE two-dimensional motion (s2/t2) or (t2/s2) .
So now we seem to have three types of orthogonal rotations: the photon system, the rotational vibration, and the 4p atomic rotation. Additionally, there is the one-dimensional spin which can be represented as a disk.
Things are getting complicated . . .
Later, I found this in Wikipedia::
"A single point in space can spin continuously without becoming tangled. Notice that after a 360 degree rotation, the spiral flips between clockwise and counterclockwise orientations. It returns to its original configuration after spinning a full 720 degrees."
http://en.wikipedia.org/wiki/Spin_(physics)See also http://en.wikipedia.org/wiki/Anti-twister_mechanism , http://en.wikipedia.org/wiki/Plate_trick , http://en.wikipedia.org/wiki/Candle_dance
http://www.freepatentsonline.com/3586413.pdf
(antitwister mechanism)Another example of an anti-twister mechanism can be seen in the figure 8 cord wrap on
this vacuum cleaner. When the upper post (green) is flipped downward, the entire cord
wrap falls to the floor. The loose end can then be pulled outward, leaving no twists in the
cord.Note that this result could not be accomplished by wrapping the cord in only one direction.
Does this imply anything about counter-rotating magnetic fields having an alleged connection
with antigravity?
Linear and Geometric Algebra, Alan Macdonald (2011) p. 90, Exercise 5.26 :See also "Dirac’s belt trick for spin 1/2 particle", Antonio Martos de la Torr https://vimeo.com/62228139 https://vimeo.com/62143283
and https://en.wikipedia.org/wiki/Orientation_entanglementHere is another one that appears in a textbook on quantum physics. It shows how two spins can combine into a triplet state or a singlet state.
Quantum Physics of Atoms, Molecules, Solids, Nuclei, and Particles, Robert Eisberg, Robert Resnick, 2nd ed. (1985) page 313
These are spins of two separate electrons. The text says that "an accurate description of the system . . . leads to a coupling between their spin and space variables. They act as if they move under the influence of a force whose sign depends on the relative orientation of their spins. This is called an exchange force. It is a purely quantum mechanical effect and has no classical analogy." (page 316) (This force has nothing to do with the Coulomb force between charges. See #FermiHolesHeaps )
The term "rotational vibration" brings to mind another conundrum in atomic physics, that of certain atomic electrons having zero angular momentum:There is an overwhelming amount of evidence from measurements of atomic spectra and elsewhere, that shows the quantum mechanical prediction for zero orbital angular momentum in the ground state to be the correct one. . . . the motion is entirely radial in that state. If the Bohr model were modified in a way that would allow for zero angular momentum states, the orbit for such a state would be a radial oscillation in which the electron passes directly through the nucleus, and the oscillation could take place along any direction in space. This would correspond, in a sense, to a spherically symmetrical probability density or charge distribution, similar to that which is predicted by quantum mechanics and is observed experimentally. (Quantum Physics of Atoms, Molecules, Solids, Nuclei, and Particles, Robert Eisberg, Robert Resnick, 2nd ed. (1985) page 254)
The current view is that the orbital angular momentum for an s electron is zero. The electron has measurable non-zero kinetic energy, but also has a measureable angular momentum which is zero. Classically, this would be possible if the electron is engaged in a linear oscillation—a "vibration"—that, as the text says "passes directly through the nucleus". But nobody likes this picture, even though it could be worked into a spherical probability distribution. The usual explanation is that classical, intuitive pictures just do not apply in the world of quantum mechanics. My gut feeling is that we really have not thought about this sufficiently, especially in view of the "rotational vibration" concept described above.
Another possibility is that "linear harmonic oscillation" is fundamental. It would be a one-dimensional "rotation" equivalent to a linear viibration (a line segment). What I termed the "one-dimensional rotation" (a disk) would then be called a two-dimensional rotation (because it occupies two-dimensions of space as a circle even though it is one dimension of rotation). What I termed the "two-dimensional rotation" (a sphere) would then be called a three-dimensional rotation (because it occupies three dimensions of space, even though it is only two-dimensions of rotation). Personally, I have a hard time picturing a linear harmonic oscillation being made from quantized linear space/time units. But for that matter, this problem would also apply to circles and spheres: these are not made up of polygons with quantized lengths of lines. This seems to point to the conclusion that, linear motion is fundamental, but rotational motion is also fundamental, and that we should stop trying to derive the latter from the former.
Some of these issues have been resolved and updated in the following article:"Intuitive Concepts for Atomic and Photon Spin Systems"
https://www.researchgate.net/publication/338293585_Intuitive_Concepts_for_Atomic_and_Photon_Spin_Systems
https://www.academia.edu/41485052/Intuitive_Concepts_for_Atomic_and_Photon_Spin_Systems_____
Another oddity of combinations of orthogonal rotations can perhaps be seen in Halbach arrays of permanent magnets:
Halbach array of cubical permanent magnets
Credits: http://en.wikipedia.org/wiki/Halbach_array
Here the effect is to double the magnetic force on one side of the array and virtually cancel it on the other side. Refrigerator magnets often use this pattern of magnetization. It can also be used with magnetic rods that are geared together to produce a permanent magnetic field that can be turned on or off by a simple rotation. ( See also: http://www.launchpnt.com/portfolio/aerospace/uav-electric-propulsion/ , http://askmar.com/Magnets/Halbach%20Array%20Motor.pdf , "Permanent Magnet Spiral Motor for Magnetic Gradient Energy Utilization: Axial Magnetic Field", Thomas F. Valone, https://www.integrityresearchinstitute.org/Spiral-Motor-2010-Valone.pdf )
Halbach arrays have been used in electric motors and even magnetically levitated surfboards ("hoverboards"):
http://www.freepatentsonline.com/20140265690.pdf "Magnetic levitation of a stationary or moving object" Gregory D. Henderson (09/18/2014)
http://www.freepatentsonline.com/20080224557.pdf "Electric motor with Halbach arrays", Mark A. Cleveland (2008)
http://physics.stackexchange.com/questions/142732/how-does-hendo-hoverboards-achieve-the-self-propelling-motion-what-is-the-mfa
http://hackaday.com/2014/10/21/the-hoverboard-you-can-build-at-home/
Intrinsic rotations are quantized and result in quantization of spin angular momentum. Intrinsic rotations also can be spatial or temporal. This suggests a possible interpretation for the +/- signs of the numbers shown in The Atomic Spin System above. It may also be a clue as to why atoms seem to be able to “absorb” an unlimited number of positrons but only a limited number of electrons.
Space itself is quantized and the quantum world is a world of one unit of space. There is no way to subdivide this space because fractional units cannot exist. There is no way to say ‘this is here and that is there’ within this one unit. We lose track of spatial position, trajectories and velocities. If you had two identical basket balls and you threw them both into a room and one bounced back out, you could in principle tell which was which. You could track their trajectories with a camera, and then be able to say “This is the one that I threw in with my right hand”. But in the quantum world there are no spatial trajectories (or equivalently, the balls take all trajectories). There is no spatial geometry either. (This is obviously incompatible with General Relativity. Quantum mechanics and Relativity apply to two different realms, and the rules are therefore different. Also, Relativity deals with linear motions that are relative; rotational motion is absolute)
But this is not true of time in this situation. Time is still three-dimensional, and is above unit magnitude. It still allows for temporal geometries and temporal trajectories. These are still “non-local” (as physicists say) from the spatial standpoint because these are “when” positions and trajectories that we try to perceive from a “where” reference system. The when and where are connected by a ratio that we call “motion” (or space/time ratio, or where/when ratio); nevertheless, when a measurement is performed, this kind of connection can only express itself probabilistically in the manner of quantum mechanics. The dimensionality of time, does, in a sense, make it akin to normal space. This is probably how quantum mechanics connects with the Bohr Correspondence Principle.
As the section about The Atomic Spin System suggests, the atom is made up of three independent/interdependent spin systems, which can be designated by three numbers. These spin systems overlay and interact with each other. One overall effect is gravitation and mass. Another more specific effect is that intrinsic rotations apparently combine to produce “lobes” of motional potentials on an atom that can be towards or away from other “lobes” of motional potentials on another atom. These motional potentials are “electric-like” and “magnetic-like”. The geometric orientations and strengths of these potentials affect bond angles and interatomic distances that we see especially in molecular compounds.
I wish I could think of a way to help people visualize these effects and make them intuitively accessible. The closest I have been able to come is to use Lissajous patterns as an example. These patterns are commonly seen on oscilloscopes in research labs. They also show up in old science fiction films. The patterns are commonly used to calibrate an unknown sine wave signal against a known sine wave signal. It is a technique that is useful in say, amateur radio. If a 1000 Hertz sine wave is fed into the scope’s horizontal amplifier, and an identical signal fed into the vertical amplifier, the display will show a straight diagonal line, even though the signals themselves have the shape of a sine wave. You can see this in the 1:1 line of the illustration below:

http://www.hobbyprojects.com/oscilloscope_tutorial/images/phase_shift_measurement.gif
If the signals are not quite the same, there will be a continuous phase shift. If one signal is 1000 Hertz and the second is 1001 Hertz, the pattern displayed will gradually morph into an ellipse, then a circle, then another ellipse, then another diagonal line, and so forth (the illustration leaves out some of the ellipses). Then they repeat indefinitely. The patterns are fascinating to watch and are almost hypnotic in their motion.
Ratios other than 1:1 produce a different pattern of lobes. By counting the lobes you can refer an unknown signal to a known signal.
![]() | ![]() |
http://www.cymaticsconference.com/images/gr_illustration_lissajous.gif http://www.batronix.com/pdf/Rigol/UserGuide/DS1000Z_UserGuide_EN.pdf
You can play with a simulated oscilloscope at: http://www.magnet.fsu.edu/education/tutorials/java/lissajous/index.html
How does this connect with atomic spin systems? Be patient. We are getting there.
In freshman chemistry we had to study something called “electronic configurations” and “atomic and molecular orbitals” and spdf notation. To me, it all seemed unreasonable, unbelievable, and just a bunch of crap. Decades later, I realized I had never used this “knowledge”. Why were we taught it? I eventually concluded that it was just useless busy work to make freshman think that they know something about chemistry. For me it was just another hoop to jump through, something I needed to pass the test. It might be useful on a game show like Jeopardy where whiz-kid fact memorizers can show off their inventories of trivia.
I still feel that way. But my studies in quantum mechanics led to another perspective on this. While I still see no value in teaching that spdf stuff to freshman chemistry students, it might be of use in quantum mechanics. Consider this modern, and still convoluted “explanation” for chemical bonds:
A chemical bond is an attraction between atoms that allows the formation of chemical substances that contain two or more atoms. The bond is caused by the electromagnetic force attraction between opposite charges, either between electrons and nuclei, or as the result of a dipole attraction. The strength of chemical bonds varies considerably; there are "strong bonds" such as covalent or ionic bonds and "weak bonds" such as dipole-dipole interactions, the London dispersion force and hydrogen bonding.
Since opposite charges attract via a simple electromagnetic force, the negatively charged electrons that are orbiting the nucleus and the positively charged protons in the nucleus attract each other. Also, an electron positioned between two nuclei will be attracted to both of them. Thus, the most stable configuration of nuclei and electrons is one in which the electrons spend more time between nuclei, than anywhere else in space. These electrons cause the nuclei to be attracted to each other, and this attraction results in the bond. However, this assembly cannot collapse to a size dictated by the volumes of these individual particles. Due to the matter wave nature of electrons and their smaller mass, they occupy a much larger amount of volume compared with the nuclei, and this volume occupied by the electrons keeps the atomic nuclei relatively far apart, as compared with the size of the nuclei themselves.
. . . The forces between the atoms are characterized by isotropic continuum electrostatic potentials. Their magnitude is in simple proportion to the charge difference.
. . . The electron density within a bond is not assigned to individual atoms, but is instead delocalized between atoms. In valence bond theory, the two electrons on the two atoms are coupled together with the bond strength depending on the overlap between them. In molecular orbital theory, the linear combination of atomic orbitals (LCAO) helps describe the delocalized molecular orbital structures and energies based on the atomic orbitals of the atoms they came from. (http://en.wikipedia.org/wiki/Chemical_bond ).
See also:
http://chemwiki.ucdavis.edu/Physical_Chemistry/Quantum_Mechanics/Atomic_Theory/Electrons_in_Atoms/Electronic_Orbitals
http://en.wikipedia.org/wiki/Atomic_orbital ;
http://en.wikipedia.org/wiki/Electron_configuration )
Note the reference to “atomic orbitals” and “bond strength” and the concept (not specifically stated in the text) of "sharing of electrons". The subject, atomic bonding, is the same one I am trying to address, but the conceptual bases are very different. Mine is based on space/time ratios and intrinsic rotations. The contemporary one is based on a patchwork of ideas: the atom “having” a nucleus instead of the atom “being” the nucleus, as well as the atom being made of “parts” like protons, neutrons, and electrons, and all interacting in conceptually ridiculous ways.
Nevertheless, diagrams of atomic orbitals are presented in almost any introductory college level chemistry textbook. You have probably seen diagrams like this one, which depicts the shapes of the basic spdf orbitals:
http://chemwiki.ucdavis.edu/@api/deki/files/4826/=Single_electron_orbitals.jpg
Different types of orbitals can combine, or “hybridize”:
http://www.mikeblaber.org/oldwine/chm1045/notes/Geometry/Hybrid/Geom05.htm
As the section about The Atomic Spin System points out, the numbers there come from the periodicity patterns in the Periodic Table. They summarize the structure of the basic atom in terms of three numbers. They do not describe the state of the atom, such as its various energy levels. Hence, these two pictures are not directly comparable. They depict different things. However, it should be possible to depict the state of the atom in terms of intrinsic rotations too. If so, the conventional depictions should produce diagrams that are consistent with the theme of rotation. Example:
“Some heavy nuclei, if you can make them spin fast enough, seem to acquire a surprisingly stable cigar shape three times as long as it is wide.” ( “New Gamma Detector Array Finds Evidence of Hyperdeformed Nuclei”, Physics Today, Vol.: 48:11, (Nov 1995) Bertram Schwarzschild, page 17 )
See also “Ray guns, Nuclear Isomers, Rydberg Atoms”
The various states are not expressed in terms like “revolutions per second”. Rather, they are conventionally expressed in terms specified by a completely different set of integers:
1. principle quantum number n (representing energy),
2. angular momentum quantum number, l,
3. magnetic quantum number, m.
4. intrinsic spin number, s (often omitted)
These, along with the atomic number (Z), are used to construct a wave equation, starting with the Schrodinger equation in the case of the hydrogen atom. The math is probably impenetrable to my readers but it involves differential equations, spherical harmonics, and “associated Laguerre functions”. See Quantum Chemistry, Donald A. McQuarrie (1983) p. 195-253. The results are expressed as a table of functions like the one below, indexed according to the values of n, l ,m and of course Z, the atomic number.

This is Table 6.6 from Physical chemistry: a molecular approach, Donald Allan McQuarrie, John Douglas Simon (1997). The title is “The complete hydrogenlike wave functions expressed as real functions . . .” A slightly more extensive table is given in Quantum Chemistry, McQuarrie (1983) Table 6-5, page 224, and Table 6-6, page 238.
Note that these functions can be expressed as “real functions" (containing no imaginary terms like i, the square root of -1) or as “complex” functions which do have the i terms. You are likely to find either form in the literature of quantum mechanics. (When authors use these terms, like “real Dirac equation” or "real vector space", think “real versus complex”, not “real versus unreal”)
The above table can be viewed online.
“The complete hydrogen atomic wave functions depend on three variables and so it is difficult to plot them or to display them. It is common to consider the radial and angular parts separately.” (McQuarrie, Quantum Chemistry, p.225-226)
A polar plot for n=3, l=2, m=0 (not in the above table) is shown below as ½ (3cos2(q – 1):

The graphing utility can be found online at http://graph.seriesmathstudy.com/ And there are similar sites:
http://webmath.com/polar.html
http://www.ies.co.jp/math/java/calc/sg_kyok/sg_kyok.html (simple, fast)
http://graph.seriesmathstudy.com (wait for Java applet window)Fortunately, you do not have to plot these things yourself. There are plenty of illustrations of “orbitals” online. Many of these are rendered in three dimensions. Here are a few examples:
The Grand Orbital Table at http://www.orbitals.com/orb/orbtable.htm You will see numerous 3D renditions of orbitals for various values of n, l, and m.
"Pictures of the hydrogen atom" is another good tutorial, and gives examples of various representation methods (cross section density, the 10% surface, current density, superposition state, variation in time, and so forth). Visit it at http://www.hydrogenlab.de/elektronium/HTML/einleitung_hauptseite_uk.html
“The Orbitron: a gallery of atomic orbitals and molecular orbitals” This site has a gallery of the spdf orbitals, examples of notation, and molecular orbitals for dihydrogen (H2) and dinitrogen (N2) . Visit it at: http://winter.group.shef.ac.uk/orbitron/AOs/6f/index.html
Other stuff:
"Structure of the electron Electromagnetic Model of the Electron", Dr. Christoph Caesar, http://ccaesar.com/eng_structure_of_the_electron.html
_____
Here is a summary of the important points for this article:
1. Atomic structure and the structure of massless (subatomic) particles can be described in terms of intrinsic rotations (2p and 4p). This basic structure should be intuitively accessible and visualizable.
2. The three numbers given in the Atomic Spin System describe the structure of the atom. They do not describe the state, such as the energy levels. These are described by different set of numbers and will have to be worked into the conceptual frame of the models.
3. Mechanical models of bonding orbitals or "force fields" can be constructed from rotating hoops or disks. A time exposure of a dot of luminescent paint will show the patterns produced by the rotations. This is probably do-able only for very simple systems like hydrogen and subatomic particles. The rest will require mathematical and graphical simulations.
4. The influence of intense external electric and magnetic fields (stable and alternating) on these rotational systems needs to be investigated. We know about Stark and Zeeman effects, spin orbit coupling, and so forth. Interactions with massless particles remains largely uninvestigated. Some of these effects are unexpected and astonishing:
“An overall effect of the two kinds of fields is clear. However, under both the external electric and magnetic fields, the test cells produced astonishing quantities of charged particles – far more than any LENR researchers have reported to date. The results, which indicate energies that could only result from nuclear events, have even startled experts in conventional nuclear fusion, who use CR-39 detectors for their own nuclear experiments. http://www.lenr-canr.org/acrobat/KrivitSextraordin.pdf
“Previous experimental research has shown that when such an electrochemical cell is subjected to an external magnetic field, EL can increase by around 30%. However, in newly published research, a team led by Ming Shao at the University of Tennessee has shown that an external magnetic field can increase the EL of an electroluminescent cell by a whopping 400%!" “Magnetic fields make light work: increasing electroluminescence”, Richard Walters, 04-2011, http://doi.wiley.com/10.1002/adma.201100193 www.materialsviews.com/.../Magnetic_fields_make_light_work_increasing_electroluminescence.html ; http://en.wikipedia.org/wiki/Induced_gamma_emission
"Magnetoelectrochemistry is a fast growing new field of scientific and technical endeavor." ("Magnetic Effects in Electrochemistry", Thomas Z. Fahidy (2008) http://electrochem.cwru.edu/encycl/art-m01-magnetic.htm
"The unusually large variation in resistance to the flow of electricity in the presence of a magnetic field observed in some oxide materials is a phenomenon known as colossal magnetoresistance. " http://www.bnl.gov/bnlweb/pubaf/pr/PR_display.asp?prID=1370&template=Today Dec 12, 2011"Moreover, our investigations in external magnetic fields up to 5 T reveal the simultaneous occurrence of magnetocapacitance and magnetoresistance of truly colossal magnitudes in this material." ("Colossal magnetocapacitance and colossal magnetoresistance in HgCr2S4", S. Weber, P. Lunkenheimer, R. Fichtl, J. Hemberger, V. Tsurkan and A. Loidl, http://arxiv.org/ftp/cond-mat/papers/0602/0602126.pdf )
"We report the observation of extremely high dielectric permittivity exceeding 109 and magnetocapacitance of the order of 104% in La0.875Sr0.125MnO3 single crystal." ("Giant dielectric permittivity and magnetocapacitance in La0.875Sr0.125MnO3 single crystals", R. F. Mamin, T. Egami, Z. Marton, and S. A. Migachev, 29 March 2007; DOI: 10.1103/PhysRevB.75.115129 ; PACS numbers: 77.22.d, 71.45.d, 75.47.Lx; http://repository.upenn.edu/cgi/viewcontent.cgi?article=1158&context=physics_papers )
http://www.scielo.br/scielo.php?pid=s0104-66322000000100011&script=sci_arttext
"Control of chemical Reactions with Magnetic Fields", J.C. Scaiano ,
http://www.uottawa.ca/publications/interscientia/inter.1/magnetic.html"Interactions of molecules at low temperatures can be tuned by DC electromagnetic fields and this degree of control may lead to the development of ultracold controlled chemistry. By shifting molecular energy levels with external magnetic or electric fields, one can bring an excited bound level of the reactive complex into or out of resonance with the collision energy leading to enhancement or suppression of the reaction efficiency. Moreover, external fields can mix states so that forbidden electronic transitions become allowed and the reaction rate may be controlled by the field strength" http://www2.chem.ubc.ca/crucs/ultracold_chemistry.html
See also:
http://www.rexresearch.com/sprink/sprink.htm
http://www2.chem.ubc.ca/personnel/faculty/krems/index.shtml
issues.html#PappEngine;
5. There is an incentive for finding an alternative to "shared electron" bonding orbitals. Electrons are plentiful in the environment. They can associate with atoms in definite ways and are very handy for expressing energy levels and energy transfers. But I don’t believe electrons are “parts” of atoms, or that they orbit a nucleus. I believe that what we are calling the “nucleus” is really the atom itself, and that “energy levels” and "force fields" originate with discrete intrinsic rotation systems, not with actual electrons in “orbitals”. A simpler conceptual picture should lead to mathematical models that are also much easier to manipulate. That in turn would have commercial and scientific applications:
“People doing drug design are keenly interested in finding structures whose shape fits a target receptor site and that have certain desired chemical properties that will enhance binding to the site." (Quantum Chemistry, Ira N. Levine, 5th ed. (2000) p. 556 )
See also:
A table of knots. The 'Unknot' was thought to represent hydrogen;
to its right, the knot thought to represent carbon. By Jkasd
(Own work, Public domain), via Wikimedia Commons
"Beautiful Losers: Kelvin's Vortex Atoms", Frank Wilczek (2011) http://www.pbs.org/wgbh/nova/physics/blog/2011/12/beautiful-losers-kelvins-vortex-atoms/http://www.youtube.com/watch?v=QaKSekjAnqY&feature=player_embedded (high density energy storage)
Some speculations regarding the weakness of the gravitational force
"Why Gravity is So Weak" Martin Rees, Ph.D., Astronomical Review (Jun 17, 2011) http://astroreview.com/issue/2012/article/why-gravity-is-so-weak :
Gravity is a very, very weak force. In a hydrogen molecule it pulls the two protons together with a force about 36 powers of ten weaker than the electric force between them. But in any large object, positive and negative electric charges almost cancel out. In contrast, everything has the same sign of gravitational charge, so gravity inexorably gains importance in large objects.
It seems odd that gravity would be such a weak force. The electric force is the most powerful (for our purposes here). The magnetic force is next, and is weaker by a factor of c, the speed of light. We would expect the gravitational force would be still weaker than magnetic, by yet another factor of c. This is because the forces are related to the dimensions of the spin systems. Electric is one-dimensional, magnetic is two-dimensional, and gravitation would be expected to be three-dimensional. The mathematical factors involved (using natural dimensions) are 11, 12, and 13, respectively. Those are all equal numerically, but they are not equal conceptually. To an inhabitant of a gravitational reference system, those factors become c0, c1, and c2, respectively. Hence, we would expect the gravitational force to be weaker than the electric force by a factor of c2 . It turns out that gravity is far, far weaker than even that.
It's amusing to ask what the universe would be like if gravity weren't quite so weak. Suppose, for example, that gravity was 'only' 26 rather than 36 powers of ten weaker than electric forces in atoms- but the properties of the atoms themselves were unchanged. Atoms and molecules would behave just as in our actual universe, but objects would not need to be so large before gravity became competitive with the other forces. In this imagined universe stars would contain a million billion times fewer particles than the sun does. If these stars had planets around them, they would be smaller than the actual planets in our Solar System by the same factor, but gravity on their surfaces would pull far more strongly than on Earth. Strong gravity would crush anything larger than an insect on hypothetical miniplanets around these miniSuns. But more severe still is the limited time. Instead of living for 10 billion years, a miniSun would last for about 1 year. . . .
There may be an explanation for the weakness of gravity in the conceptual system of Rotations of Rotations presented above. Possibly, the effects ("forces") of the spin systems become scrambled due to the effect of rotations-of-rotations. In bulk matter, they would average out to a very small overall effect. This would be true of the inner spin systems of an atom. But the outermost spin systems would be relatively intact and unopposed. At the atomic level, these would be manifest as powerful forces with a specific geometry that are probably what we call chemical and intermetallic bonding forces. They are like "gravity", but not in the bulk sense of the word.
Another aspect of this is that in bulk matter, these forces between atoms reach an equilibrium that manifests itself as an interatomic distance. This may "use up" a portion of the temporal and spatial momentum that would otherwise be manifest as bulk gravity.
For these two hypothetical reasons, gravity becomes a very weak force. It is sort of "self-contained" and "minds its own business". If it were much stronger, life would be impossible. We humans have non-ignorable mass, and would be inconveniently attracted to the walls in the hallway, or to the floor. We could not easily pull our hand away from a door knob, or throw a football. We could not even take a shower, as the water would not roll off. Everything would be "stuck" to everything else! And for that matter, if gravity were made more powerful by "only" a factor of 1010 (as the article suggests), the 1 g of Earth gravity would become 10 billion g. You would be completely flattened!!
Differences in bulk vs. miniscule properties are not unknown in physics. Brownian motion, for example, is well known. Another one is ferromagnetism (an altogether different subject) in which we see great differences in bulk behavior and behavior at the miniscule level. These properties are based on the existence and orientation of tiny, so-called "magnetic domains":
It can be seen that, although on a microscopic scale almost all the magnetic dipoles in a piece of ferromagnetic material are lined up parallel to their neighbors in domains, creating strong local magnetic fields, energy minimization results in a domain structure that minimizes the large-scale magnetic field. The domains point in different directions, confining the field lines to microscopic loops between neighboring domains, so the combined fields cancel at a distance. Therefore a bulk piece of ferromagnetic material in its lowest energy state has little or no external magnetic field. The material is said to be "unmagnetized". http://en.wikipedia.org/wiki/Magnetic_domain
In the practical world, this can be a nuisance when machining ferromagnetic materials like iron, nickel, and cobalt. At work I once had to visit our machine shop. The shop was very neat and clean and the walls were all painted white. But on one wall, I noticed a strange pattern of regularly spaced black dots. I knew these guys did not care about interior decorating, and so I wondered what the black dots were. They turned out to be little clumps of fine iron dust, magnetic, apparently from a surface grinder. They had been wafted around by the air currents and found every iron screw that attaches the wallboards to the studs.
Similar problems occur when drilling or machining such metals. The photo below shows what happens when extremely fine cuts are made by a lathe on a steel plug. The plug itself is not magnetized, but the extremely fine cuttings act like tiny magnets.
This is a photo from Metal Lathe for Home Machinists, Harold Hall (2012) p. 53. The extremely sharp cutting tool is taking an extremely shallow cut (less than 0.0001 inch) on a steel cylinder. This produces extremely fine iron dust. At these tiny dimensions, the "magnetic domain" behavior prevails, and causes the dust to act like a fuzz of tiny magnets which stick to the cutting tool. (the photo may alias on some monitors)
Subjecting an iron bar to a strong external magnetic field will cause many of these tiny domains to align in the same direction. The bar becomes magnetized as a bulk object. Even hammering the end of an iron bar when it is aligned with the Earth's magnetic field can cause it to become weakly magnetized
_____
I can anticipate the next question: "If gravity is so fundamentally weak, why can't we null it out entirely?" Well, I believe we can, and over the years I have written several articles relevant to this possibility. See Advanced Stellar Propulsion Systems at this web site.
Here we will just consider gravitational effects of bulk rotation:
A very remarkable phenomenon that Kozyrev discovered by rotating gyroscopes is that they lose very small but measurable amounts of weight. Also firmly shaking objects could make objects lose weight. Now from our current understandings of physics this is quite impossible! It violates all physical laws, how can solid matter lose weight when it is spun at high speeds or shaken?
("Aether Vibrations-A Wave Based Universe" (2012) http://www.bibliotecapleyades.net/ciencia/ciencia_fisica36.htm ; http://beforeitsnews.com/alternative/2012/07/aether-vibrations-2357376.html?currentSplittedPage=0See also
"Anomalous weight reduction on a gyroscopes right rotation around the vertical axis of the earth", H. Hayasaka and S. Takeuchi (1989) http://earthtech.org/experiments/tajmar/papers/p2701_1.pdf
Because INtrinsic spin (or more generally, "intrinsic rotation") is connected with gravitation (and other field effects) then EXtrinsic spin on a bulk system should have some kind to gravitational effect too, except that it would be much less than what is observed at the atomic level. High speed gyros show a slight weight reduction. Bulk rotation apparently imposes a tiny amount of order on the scrambled spin systems. But for a significant effect, MUCH higher rotation rates would be required: millions of revolutions per second instead of thousands of revolutions per minute. This is probably possible with electronically rotated mercury plasmas which can be spunup into the megahertz range. The high rotation rate would compensate for the small amount of mass in the plasma. Bulk rotation of ordinary spacecraft may also have detectable gravitational effects. See #EffectsOfOrdinarySpin
Shaking a bulk mass could have a similar effect. Any kind of spatial "speed" opposes gravitational motion. This means the atoms have to come into equilibrium with a new space/time environment. When the shaking stops, and the object is weighed, it will show a momentary weight loss while it is returning to normal. See http://www.rexresearch.com/brown2/brown2.htm#90 (the shaking here is probably a non-uniform acceleration, also known as "jerk")
Because the atomic spin systems have electric and magnetic effects, we might expect that the collection of spin systems could be partially aligned by using powerful external electric and magnetic fields. This would enable us to "steer gravity". There is no doubt that such fields affect the behavior of atoms. But gravitation itself presents a problem. Gravitational motion is inherently temporal, and as such is non-directional in a spatial reference system. How can we directionally align a motion that inherently has no direction (a "when" motion in a "where" reference system)? Electric and magnetic fields are also manifestations of temporal motion ("potentials" to us). Can we really (inherently) align a motion that is non-directional by using another motion that is also non-directional? And then refer all the action to an equally non-directional "absolute dynamic ether" (which acts like a centerless expansion)? We are headed for some conceptual difficulties here! No wonder people have trouble conceiving an "antigravity" technology! It seems some sort of asymmetry is required*.
Physical rotation in space is one way to upset this symmetry. Rotation is regarded as absolute, rather than relative (See In Search of the Geometry of Space, Time and Motion and RadiationCircularChargeMotion.html#FeynmanFaradayFluxRuleParadox ) Hence, bulk rotation could indeed have a very slight gravitational effect. (In spacecraft navigation it has a very noticeable effect. See http://scripturalphysics.org/4v4a/ADVPROP.html#RotatingSpacecraftAnomalies )
The use of electric and magnetic fields should have a much more powerful effect, but the symmetry problem remains. My articles elsewhere about Motion Cancellers , Poynting vector behavior when charging a capacitor and other Poynting vector insights attempt to address these problems.
* Feynman's comment about static electric and magnetic fields is relevant here: "If you look at the energy flow, you find that it just circulates around and around. There isn't any change in the energy anywhere—everything which flows into one volume flows out again. It is like incompressible water flowing around."
html 11/2011
html 10/2013
Quantum Mechanics and the Hamiltonian
Back in the 1830s Sir William Rowan Hamilton devised a system of classical mechanics that would turn out to be ideally suited, with some reformulation, for use in quantum mechanics nearly 100 years later. In classical mechanics the Hamiltonian, H, of a system is the sum of the kinetic energy, T, and potential energy, V, of all the particles present. The relation is expressed as:
In quantum mechanics the expression must be converted into an operator:
The Hamiltonian operator appears in Schrödinger's wave equation in the following form:
One cannot help but wonder why Hamilton's description of motion is so useful in quantum mechanics. Newton's F=ma and its various derivatives were much more popular than Hamilton's. Yet in quantum mechanics, we have to use Hamilton's.
In classical form the Hamiltonian is expressed as:
This states that for a conservative system, the total energy is the sum of the kinetic and potential energy. Why does energy seem to be the critically important quantity in quantum mechanics?
Where else is energy used as a measure of motion? As you might recall from the discussion in the section above, energy was used as a measure of motion at very high speeds. When a particle is accelerated to speeds near that of light, the acceleration begins to decrease from the classically expected values. A presumably constant accelerating force does not produce a constant acceleration. The applicable equation is F=ma and can be rewritten as a = F/m. It is apparent that the decrease in acceleration could be due to a decrease in Force or an increase in mass. Scientists chose the latter as an explanation. However, mass, at least in the Periodic table, seems to come in discrete units and the idea that it could vary continuously is an uncomfortable premise.
On the other hand, we have readily available examples of force decreasing with speed. In a common electric motor a magnetic field rotating at constant speed drags the rotor around until it reaches near-synchronous speed. At synchronous speed the currents induced in the rotor approach zero, and the accelerating torque does likewise. The rotor thus approaches a speed limit. It can never go faster than the rotating magnetic field. Or, if you don't understand motors, try my tennis ball and roller skate illustration. A roller skate is affixed to a linear track and a line of people on the ground shoot constant velocity tennis balls at it as it flies by. A little thought will show that the roller skate can never travel faster than the tennis balls (because if it goes faster, the tennis balls will never hit it). Again this places a limit on the accelerating force.
But . . . that explanation won't work either. In the case of a particle being accelerated to speeds near that of light, the energy keeps on increasing even though the speed does not. As you may have guessed from reading the above section, we are talking about speed in coordinate space. As one of the diagrams shows, speeds in coordinate time appear to us spatial observers as a t/s ratio instead of a s/t ratio. A t/s ratio undoubtedly corresponds to some sort of physical property. But what is it? It would be nice if it turned out to be energy.
We can determine the space/time dimensions for energy from an equation like E=mc2. But to do this, we will have to make a choice for the space/time dimensions for mass. As explained in Advanced Stellar Propulsion Systems, mass moves opposite to the three-dimensional progression of space and time. The progression moves everything that has no independent motion (like photons) to increasing spatial and temporal separation. At the speed of light these motions are equivalent (as explained above) and so the dimensions are s3/t3 or t3/s3. (The expansion in time, incidentally, exactly balances out the expansion in space, both physically and numerically; the "fabric" of the Universe as a complete whole (spatial + temporal) is "stationary" or "doing nothing" at the speed of light, neither expanding nor contracting. That is why I view the speed of light as the nothing datum for the physical universe.) Mass moves opposite to the expansion of space. That suggests its dimensions are somehow "opposite" to s3/t3. We seem to have two choices for "opposite": use a minus sign or use the multiplicative inverse. The former choice seems to lead to a conceptual dead end, so we will try the latter. Substituting these into the equation gives:
The symbol, [=], means that only the dimensions are being considered in the equation.
We see that energy does indeed have the space/time dimensions of t/s. But will this work in the Hamiltonian? To find out, we will have to re-write it slightly. The p will be expressed as mechanical momentum, mv, and so kinetic energy will be 1/2 mv2 ; potential energy is force through a distance and will be expressed as (ma)x. So we have:
Note that the units of the two terms are consistent, as they must be before they can be added together. Note also that they have the space/time dimensions of energy!
This is really an astounding result. Quantum phenomena are normally studied at very low energies (room temperature or even cryogenic temperatures) and at very tiny dimensions. Relativistic phenomena occur at high speeds or high temperatures and can involve astronomical distances. You would not expect one to have much in common with the other. But both types of phenomena require their activity to be described in the space/time dimensions of energy. Quantum phenomena occur because of a unit space limitation and relativistic phenomena occur because of a unit speed limitation. Either of these limitations force the phenomena to be temporal, rather than spatial. The measure of speed in the spatial system is s/t. In the temporal system, as seen from the spatial, the ratio inverts and becomes t/s. It is still speed, but temporal speed is seen as energy from our spatial standpoint. The Hamiltonian describes a system in terms of its energy, and so its use in quantum mechanics is a natural application. (For some further insights see: "Beyond Einstein: non-loal physics" .)
As I have said above, a correct paradigm makes understanding these mysteries easy. Almost trivial . . .
"Faith is . . . the conviction of things not seen. . . .
By faith we understand that the worlds were prepared by the word of God,
so that what is seen was not made out of things which are visible." (Hebrews 11:1,3)
Natural Quantities of Space, Time, and Frequency
If space and time exist in discrete units, then how big, or how small, are these units? Quantum phenomena become most apparent at very small spatial dimensions. So this is undoubtedly a pertinent question. As two atoms approach each other in space, they eventually reach a point where they are separated by one unit of space. This space has no "inside" and so the atoms must stop moving together in space. If everything in the universe is composed of space/time ratios, then it follows that this ratio cannot become zero, because a zero would mean that it is not in the physical universe (I think mathematicians would say "not a member of the set"). This unit space is therefore the minimum separation possible in space. But this does not lead to a dead end. The time component of the ratio can still change. In this case it would represent a change of position of three-dimensional time instead of a change of position in three-dimensional space. Also, instead of a change of position in space or time, a change of direction appears to be another possible behavior atoms and other entities can express. We call the latter "intrinsic spin" and it is also regarded as a quantum characteristic.
The above arguments would apply to space/time ratios in general. Hence, there must be such things as a unit of space, a unit of time, a unit of speed, a unit of frequency, a unit of mass, etc. Nature only gives some clues as to what these might be. We have to make some educated guesses, try them out, and see if the results make sense.
Let's attempt to use the the Rydberg formula for spectra to derive some possible unit magnitudes for space, time, and frequency:
This approach yields 912 Angstroms as the limit of the Lyman series for the hydrogen atom (Quantum Chemistry, McQuarrie, 1983, p.19). But now there is a problem of interpretation. The number is derived from a spectral formula and photons are rotational entities. Should we apply a factor of 2p somehow to this number? Or because we are looking at a rotational entity from a linear reference system, maybe we should regard the 912 Angstroms as a projection of a diameter? That would make the basic unit (the radius) 456 Angstroms instead of 912. Likewise, is the unit of time 3.05 x 10 -16 seconds or half that? (See also Rydberg Atom )
We will leave these problems for later resolution. For now we will say, tentatively, that the Natural Quantity of space is either 912 or 456 Angstroms. The important point is that space is not infinitely divisible. Atoms can approach each other in space only as close as one spatial unit. After that, the spatial separation becomes fixed at one unit and all further variation must be in time. The time magnitude representable in the reference system will make the space unit involved in the separation appear as 1/t. The space/time ratio thus appears as 1/t/1/t or 1/t2. This suggests how the reciprocal square integer terms in the Rydberg equation originate. They are a direct result of the quantization of space and time. . . . (11-3-03 note: For more on the reciprocal squares see The Feynman Lectures on Physics, Vol. 3, p. 19-5, equation 19.24. What I see in the math is a hint of how the quantum world "connects" with our ordinary world through the 1/n2 relation.)
"But wait a minute!" you say. "The separation between atoms in a solid is on the order of a few Angstroms. That is much smaller than the 912 or 456 Angstroms that are supposed to be the spatial minimum. How do you explain that?" Well, that is exactly the point. The separation is not spatial. It is temporal. The question now becomes one of how temporal "distances" appear to an observer in a spatial reference system. How does an inherently "when" type of distance manifest itself in an inherently "where" type of reference system? Can what we think of as duration manifest itself as a spatial length? How does a location in time relate to a location in space? Understanding what is meant by terms like locality, position, separability, and metric spaces is central to acquiring an intuitive understanding of quantum phenomena. ( See also: "Melted volume increases, but internuclear distance decreases. Why?" ;
In Search of the Geometry of Space, Time and Motion )_____
Some clues to unit quantities are buried in the mathematics. Unfortunately, the mathematics arising from a physical relation usually give no hint about how that relation arises. It makes sense to think of "quantity of motion" as being the product of mass and velocity (mv or momentum). But why is kinetic energy related to the integral of momentum, and therefore the square of velocity (K.E. = 1/2 mv2) and not just velocity itself? If you are designing an airplane engine and want to maximize thrust with a minimum expenditure of energy, this distinction is important. You need to move a large amount of mass (air) at a low velocity rather than a small amount of mass at a high velocity. That is why modern jet engines have bypass fans. It is the difference between a "turbofan engine" and a "turbojet engine". It also explains why rockets are much less efficient than turbofans. But why does nature work this way? What is the underlying machinery? The math itself does not give a clue.
I encountered a similar conundrum when I was wondering about the relation of mass to energy. I expected to find a c3 term somewhere. But the relation turns out to be the well-known E=mc2. Could not argue with that.... I could multiply both sides of the equation by c and get Ec = mc3 but that did not seem to lead anywhere either.
Years went by.
One day I had to look up the quadratic formula, and just for amusement, I reviewed the section on "completing the square" which is related to the derivation of the formula. In highschool, I thought it was so clever that mathematicians could add in an extraneous term and get something very useful out of it. Somehow, that eventually linked up with my previous exposure to Ec = mc3 . I began thinking that maybe the c is not extraneous, that maybe it is supposed to be there, that maybe I should be comfortable with it. What could I do with it? Not much. About all I could do was express Ec as E/(1/c). That seemed totally pointless. But rewriting the equation in that form gives:
It took a few moments, but I lit up with a Wow! response. It was beautiful, compact, powerful, elegant, and . . . mysterious. I had found the c3 term; it was not in the form I expected, but at least it was there. The equation also seemed to be saying that mass and energy differ only in dimensions, that mass is just a three-dimensional form of energy. There is nothing that says how mass is constructed or formed from energy, just that the amounts of each are directly related (the Periodic Table gives clues about the structure.).
The fact that the term (1/c) appears in the denominator also has special significance. In our grocery stores we see labels that have "unit pricing". This makes comparison shopping more convenient. One item costs 19.4 cents per ounce and another costs 17.2 cents per ounce. It is easy to see, without using a calculator, which item is cheaper. The pricing could also be stated using another basis like "widgets per dollar." The "per ounce" or "per dollar" form the UNIT basis. That is, the denominator really equates to the number "1".
Hence, the (1/c) term in a fundamental equation like this, must itself be a fundamental ONE UNIT quantity. It is equivalent to "1". So the equation really looks like:
E / 11 = m / 13
In other words, the Universe is using "unit quantities" in its fundamental relations. From dimensional inspection, 1/c must be a unit of energy. And since c, the speed of light, has the dimensions of space/time, then 1/c must have the dimensions of time/space. Plugging this into E= mc2 we find that mass must necessarily have the dimensions of time3/space3 or t3/s3 for short. That explains why gravitation acts like a non-local motion (a "when" motion that does not have a "direction" in a "where" reference system. It explains why the floor you stand on is accelerating you upwards, but you move to a new "when" instead of a new "where". See discussion above ). It also explains why kinetic energy cannot be a vector quantity.
Taking this "unit denominator" argument further, we note that c itself is in the denominator of 1/c, and hence, c must be ONE UNIT of speed, another fundamental unit that the Universe uses. And for that matter, c itself is composed of a numerator and a denominator. It follows that space and time must be quantized to some UNIT quantity (but we do not know what these units would correspond to in, say, the MKS system). But clearly, unit quantities exist for energy, speed, space and time.
The same argument applies to electromagnetic quantities. The relation of an electric field to a magnetic field is E = cB, a well-known formula. But like the equation above, this can be rewritten as E/(1/c)1 = B/(1/c)2 , implying the existence of unit quantities. This means that the B field is a two-dimensional version of the E field. This implies that an E field, when given an added motion, will produce a B field effect (as with an electron in motion). It also means that the E and B fields are normally in phase. Consider the following illustration for an electromagnetic wave (light, microwaves, etc.):
http://hyperphysics.phy-astr.gsu.edu/hbase/waves/emwavecon.html#c1 Here we see that the E and B field increase (or decrease) simultaneously. They do not toss their energy back and forth between the E form and the B form while propagating. In fact both fields simultaneously have a value of zero twice in a cycle.
And again, we do not know, at this point, what the unit quantities are for E and B fields. But they are important. The limit of one unit of space is the boundary of the quantum mechanical world. This unit has no inside, and consequently we cannot distinguish particles by their positon or trajectories. The local world has become non-local. At the speed of light, the relation of space to time inverts; space/time becomes time/space, locality becomes non-locality. If you want to travel between galaxies without traversing the intervening space, you will have to use a propulsion system that can switch from local to non-local physics behaviors. The most direct way of achieving this would be to utilize electric and magnetic fields, which are non-local by their very nature. Gravitation is also non-local, and so all three fields (electric, magnetic and gravitational) are all related dimensionally (one that the Physics Establishment refuses to recognize. See article.).
Just how are we to interpret these unit relationships? We can see that 11 = 12 = 13 . They are equal numerically, but they are certainly not equal conceptually. The speed of light can be taken as one unit of speed in Relativity, but unlike 11 and 12 , the c1, and c2 are huge quantities from our ordinary viewpoint. If the Universe is fundamentally using "unit math", then our local human perspective on that Universe is really screwed up!
Pythagoras had a problem that was something like this. He (or his followers) constructed a triangle that had two sides that were each one unit long, and he found that the hypotenuse had a length of Ö2. But Ö2 was an "irrational number" (could not be expressed as a ratio of two integers). The fact that a geometric representation of an irrational number (the diagonal of a square) could be drawn with a compass and straight edge was absolutely scandalous in those days. But I now think this problem could be cast in a different light. "Orthogonal addition" (as I call it) of "one plus one" comes out to "one squared", not the square root of 2. It is still "one" but it is a "one" in two dimensions. The Pythagoreans were trying to measure it in linear dimensions, not square dimensions, and ended-up with Ö2 as the answer. (similar reasoning applies to the diagonal of a cube)
The volume of a unit cube could be represented by a linear diagonal, interpreted here as 13 . The same arguments could be applied to rotation. A one-dimensional unit rotation is represented by 2p and a two-dimensional rotation by 4p. But these numbers represent rotations, not linear dimensions. (We need to get our math more in sync with the physics. See GeometricAlgebra )As the next article shows, the spatial zero for motion and the temporal zero for motion are 2c apart. This implies that some (very few) unit dimensions may show up in our equations as 21, 22, and 23 or 2, 4, and 8. But these could also just be factors with a very ordinary genesis.
Finding unit quantities by mathematical inspection is extremely difficult and is not a recommended method. But you may encounter them inadvertently. If you can recognize one, you have found a real gem, and one that has lots of implications.
Other candidates for natural unit quantities:
Electron Charge:
"electron charge, (symbol e), fundamental physical constant expressing the naturally occurring unit of electric charge, equal to 1.6021765 × 10 −19 coulomb, or 4.80320451 × 10 −10 electrostatic unit (esu, or statcoulomb)." Ref: Encyclopaedia Britannica. http://www.britannica.com/EBchecked/topic/183512/electron-chargeQuantized Hall Resistance (aka Klitzing constant):
"The quantized Hall resistance h/e2, now known as the von Klitzing constant, has the value 25812.807572 [ohms] and has been determined to a precision of better than 1 part in 108" (Physics, 5th ed., Halliday, Resnick, and Krane Vol. 2, p.736 ) Note: this refernce states that this "has the dimension of resistance . . . although it is not a resistance in the conventional sense." Hence, the applicability may be limited to a particular situation. The quantity h/e2 does indeed have the space/time dimensions of resistance, namely t2/s3) .
Planck constant, h
( http://en.wikipedia.org/wiki/Planck_constant )
Large Scale Space/Time and Time/Space Phenomena
Consider space and time in a more general situation. Roll a marble across your desk. You will find that your mind makes some abstractions in trying to apprehend this phenomena. "It starts out here, and goes to there, and takes a certain amount of clock time to do this." The motion is the primary phenomena, but concepts like position, locality, time, trajectory, are abstractions that are used to describe it. We call the movement of the marble motion in space.
The same idea applies if you have motion in three-dimensional time. If you were entirely within the temporal system it would look exactly the same as the view from entirely within the spatial. "It starts out here, and goes to there, and takes a certain amount of time to do this." You of course have no way of knowing that space and time have been swapped. To you, three-dimensional time will look like ordinary space, and the clock space (the "time" you think you are using) will look like ordinary time. Nor would you guess that the desk and the marble are made of atoms with space/time relationships that are the inverse of the spatial ones.
All this is very ordinary. But things get really interesting when you are in one system looking at phenomena that are at least partially in the other. This situation applies in quantum mechanics, where there is temporal activity or phenomena at unit spatial distance, but this unit distance is still localized in the spatial system (e.g., you can take the phenomena and put it under a microscope).
It also applies to high speed phenomena. Speed, as a ratio of quantized space and time, will itself be quantized also. As the speed of a particle approaches that of light, speed as a change of position in space, approaches a limiting value, the speed of light. Speeds above light are possible, but they are in three-dimensional time, and a change of position in three-dimensional time cannot be readily depicted in a spatial reference system. Hence, quantum phenomena and high speed phenomena have something in common: temporal motion. We are trying to figure out how this motion appears to an observer in a spatial reference system. Knowing what happens to s/t and t/s ratios near the speed of light may give us some additional clues.
Note that the s/t = 0 in the illustration is used in the everyday sense. It means that if an unlimited amount of time becomes associated with a particular spatial position, then the speed of that position is zero. It is not intended to mean that the speed does not exist or that it is not part of the physical universe.
The transform implied by the above example can be applied as shown below:
Related comment: Unit energy .
In case you feel uncomfortable with the idea that there is another half of the Universe that is an inverse counterpart to the spatial one, you might find some comfort in the fact that scientists have been playing around with ideas vaguely similar to this at least since the 1950s:
"[Some] scientists argue that nothing less than an entire universe of shadow matter, made of particles nearly identical to neutrons, protons, and electrons, shares our space. We just can't tell it's there.
Welcome to the mirror world, in which every particle in the known universe could have a counterpart. This cosmos would hold mirror planets, mirror stars, and even mirror life.
The concept may sound as fantastic as the world that Lewis Carroll's Alice encountered through the looking glass. But proponents of the mirror world, a notion that dates back to the 1950s, say its existence would solve a number of puzzles in physics and cosmology."
See "Through the Looking Glass: Reflections on a mirror universe" by Ron Cowen in Science News, Vol 158, No 11, p. 173 (Sept. 9, 2000). The world they are proposing is not the same sort as the one I am attempting to describe, and so there is no point in elaborating. I am just pointing out that "main stream science" has been playing around with similar ideas. Unfortunately, they have not proved fruitful because they are based on "facts" that turn out to be illusions, if not just a lot of outright loony ideas. But we will see how correct answers come easily, even trivially, when the real situation is understood.
Let's consider, as an example, the existence of what is known to astronomers as "diffuse background radiation". The temporal half of the Universe has the same statistical properties as our spatial half. It has the same type of stars emitting the same type of light (infrared, visible, ultraviolet, X-ray, gamma ray, etc) as viewed from within that system. And the stellar populations have the same statistical distributions as stars in our spatial system. The stars that are visible in our sky are mostly blue. It just happens that blue stars are also the brightest and that is why we see them. But cooler stars of lesser brightness are actually more plentiful. These would be infrared or near infrared stars. The same would be true of the temporal system when viewed from within that system.
Let's apply the Master Transform and see how how this plentiful radiation from infrared temporal stars would appear in our spatial system. First, we will calculate frequency of radiation. Let's take infrared as 1013 Hertz, and approximate the Rydberg frequency as 1015 Hertz (so we can do this mentally). Infrared is thus 1/100 of a Natural Quantity of frequency. The inverse of that is 100, and 100 times the Rydberg frequency is 1017 Hertz. This radiation is in the low energy X-ray range. As seen from our sky then, the temporal infrared radiation should appear as X-radiation. It should also be plentiful, but unlike normal starlight, it will distributed in a completely uniform and diffuse manner (isotropic and homogeneous). Is this the case?
Actually, the existence of the X-ray background has been known for decades:
"Even the most contentious people usually agree that the night sky is dark. Don't try arguing the point with an astronomer, however. In 1962 researchers discovered that when seen through instruments sensitive to X-rays, the sky glows with a bright and oddly uniform intensity. This pervasive radiation, rather unpoetically known as the diffuse X-ray background, has eluded easy explanation. Roughly 25 to 30 percent of the background has been attributed to quasars. . . . The origin of the rest has been a persistent mystery. . . . The spectrum of the X-ray background closely resembles that of a thin, hot gas. (Scientific American, March, 1991, p.26, "X-ray Riddle: Cosmic background is still unexplained." See also Astronomy, April 1991, p.22, "X-rays Light Up Philadelphia")
The same reasoning can be applied to other portions of the electromagnetic spectrum. There is also a gamma ray background, for example. And you have probably heard of the cosmic microwave background when the COBE observations were done some years ago. The microwave background was found to be uniform to 1 part in 100,000 to 1 part in 1,000,000. It does not vary with time of year or direction in space. This is an extraordinary uniformity in what we see as an otherwise lumpy universe. Conventional science has not yet devised a credible explanation for the entire spectrum of background radiation.
Furthermore, temporal stars are made of inverse atoms just like our spatial stars are made of normal atoms. This implies that there should be cosmic background particles just like there is cosmic background radiation. The omnipresent gravity of stars and galaxies tends to sweep our space free of particles. This makes our space transparent, and also puts most of the particles in a high energy environment inside stars. The counterpart of this should be happening in the temporal system. According to the diagram, the temporal zero speed, as seen from the spatial zero, is 2c distant (note that the diagram is considering only one dimension). The spatial reference system can only depict speed as a change of position in space up to 1c; speeds in excess of this will appear as energy. Low speed temporal particles, such as those in interstellar temporal gas or atoms in a temporal planet, will appear to us spatial observers as a diffuse background of particles moving through our reference system at the speed of light and possessing extremely high energies. Atoms in a temporal star will appear likewise, except that they will have lower energies, and be much more plentiful.
It should be pretty clear that these particles are what the scientific community has been calling "cosmic rays". They are in fact extremely isotropic and homogeneous just as we would expect if they have a temporal origin. As for their energies consider this:
"We find that there is a flux of about 1 particle/cm2 sec at 10 GeV. Above 1020 eV, we can expect to see only about 5 particles per century per square kilometer! . . . If we add up all the energy carried by all of the CR [Cosmic Ray] particles, we find that the rate of arrival of CR energy on the Earth amounts to about 100,000 kilowatts (105 kw) —about one billion times less than the energy arriving in sunlight, but comparable to the total energy that we receive in starlight." (Cosmic Rays, Michael W. Friedlander, 1989, p. 84, 86)
A particle with an energy of 1020 eV has roughly the energy of a golf ball or baseball in flight.( http://www.sciam.com/0197issue/0197swordy.html , http://www.sciencedaily.com/releases/1998/12/981216081217.htm) They are extremely rare, and do not deposit all their energy in one collision.You don't have to worry about getting hit by one. A natural process that could accelerate particles to 1020 eV and spray them uniformly all over the Universe is simply inconceivable. Even earthbound particle accelerators cannot produce particle energies that are even close to 1020 eV. It is much more reasonable to view these particles as originating in a temporal system with near zero speed; this will explain both the extremely high energy and the diffuse nature of these particles when seen from a spatial system.
Cosmic ray particles also seem to be within the required mass range. These inverse atoms with inverse masses must be members of an "Inverse Periodic Table." If we choose 1 a.m.u. as the likely natural unit of mass, then the mass range of the Table can be worked out. However, cosmic ray particle mass are usually stated in terms of electron masses. If we equate one amu with 1835 electron masses, then the mass range of the "Inverse Periodic table" extends from (2/1)(1835) to (2/118)(1835) electron masses. This range, 3670 to 31 electron masses, apparently does encompass the range of cosmic ray particle masses. (note that the particles with the highest atomic number are actually the least massive particles)
Stars we can see in space apparently generate power in pulses. The pulses, in the case of stars like our Sun, are apparently several years apart, and last only a few to several seconds. Stars can also blow up in a supernova explosion if the power generation process is not self-limiting, as appears to be the case sometimes with massive blue supergiants. The same thing should be true of a temporal star. Under either of these conditions the interior atoms in such a star will briefly have such an extremely high amount of energy that their speeds may reach out across the speed of light boundary and approach the spatial zero. This will "stop" the motion in the context of the spatial reference system. Such an energetic event would only last a few to several seconds, and it would localize in space for approximately that amount of time. It is not clear that any phenomena corresponding to this have been observed. The mysterious gamma ray bursts ("cosmic flashbulbs") observed by astronomers seem to be the only possibility so far.
See also:
"Laue Lens Development for Hard X–rays (>60 keV)", D. Pellicciotta, F. Frontera, G. Loffredo, A. Pisa, K. Andersen, P. Courtois, B. Hamelin, V. Carassiti, M. Melchiorri, S. Squerzanti (2005) http://arxiv.org/pdf/astro-ph/0511490.pdf
"Randomness not so random", Science News, (May 18, 2013) p. 31, reader comment
The Problem of Quantum Reality
An issue among physicists, and the subject of much debate in both popular and scientific publications, is about the picture of reality presented by quantum mechanics.
Reality is defined as something that is factual, objective, actual, not merely seeming, pretended, or imagined.
If you find it hard to believe that physicists, of all people, are confused about what constitutes reality, then consider the following quotations:
"Questions like these [about elementary particles] raise doubts as to whether the conceptual scheme of nuclear physics is a ‘real’ account of the structure of the universe." (Modern Science and Modern Man, J. B. Conant, (1952), p. 46)
"The physicist thus finds himself in a world from which the bottom has dropped clean out; as he penetrates deeper and deeper it eludes him and fades away by the highly unsportsmanlike device of just becoming meaningless. No refinement of measurement will avail to carry him beyond the portals of this shadowy domain which he cannot even mention without logical inconsistency. A bound is thus forever set to the curiosity of the physicist. . . . The world is not a world of reason, understandable by the intellect of man, but as we penetrate ever deeper, the very law of cause and effect . . . ceases to have meaning. The world is not intrinsically reasonable or understandable; it acquires these properties in ever-increasing degree as we ascend from the realm of the very little to the realm of everyday things; here we may eventually hope for an understanding sufficiently good for all practical purposes, but no more." (Reflections of a Physicist, P.W. Bridgman, (1955), pp. 185-186)
"When we thought we were studying an external world our data were still simply our observations; the world was an inference from them. Until this century it was possible to make such an inference intelligibly . . . But now we find that . . . we can no longer express them as the structure of an external world unless we accept a world which is arbitrary, irrational and largely unknowable." (The Scientific Adventure, Herbert Dingle, (1952), p.260)
"The ‘real’ world is not only unknown and unknowable, but inconceivable—that is to say, contradictory or absurd." (A Century of Science, Herbert Dingle, (1951), p. 315)
"Some physicists would prefer to come back to the idea of an objective real world whose smallest parts exist objectively in the same sense as stones or trees exist independently of whether we observe them. This however is impossible." —Werner Heisenberg
Physicists arrived at these distasteful conclusions only after decades of debate and examination of perplexing experimental facts. In the single momentous year of 1925 three quantum theories had appeared on the scene: Schrödinger's wave mechanics, Heisenberg's matrix mechanics, and Dirac's transformation theory. Although they seemed quite different, they were found to be all mathematically equivalent. (A forth one, by Feynman, and fundamentally different, would appear in the late 1940s). The picture of reality implied by these theories was simply unbelievable and was the focus of much debate. The famous Bohr - Einstein debates over quantum theory and reality took place from about 1925 to 1935. Eventually the views of Niels Bohr, Werner Heisenberg, and Max Born prevailed and by the mid 1930s the "Copenhagen interpretation", as it came to be called, emerged as the generally accepted doctrine. This doctrine holds, among other things, that there is no deep reality to our world. This view is easily seen in the above quotations.
Mind you, there were no debates about whether an electron exists or that it possesses innate attributes like mass, charge, and spin. But it could not be denied that other attributes, like position/momentum, seemed to be inextricably linked to the measurement process. The former were called static attributes and the latter, dynamic attributes. The electron seemed to have no innate position, or even to possess an infinite number of simutaneously existing positions, until a position measurement was actually made. If you took away the measuring apparatus, you would actually take away the position attribute.
A rather loose illustration would be like asking "What is the color of a chameleon?" and the answer is that "It depends on the color of what it is sitting on." Well, how can that be? Doesn't a chameleon have a color in the same sense that trees and stones have color? In the thinking patterns of a quantum physicist, a chameleon is a creature that simutaneously exists in the form of multiple colors, and its "color" becomes actualized only when an observation is made. The "color" of a chameleon is thus a dynamic, rather than static, attribute.
We think of color as a real property of an object. but we also know it is not an innate attribute. Several years ago, many people here in Arizona wanted low pressure sodium vapor lights required for outdoor commercial lighting. They wanted these lights used because they would cause less interference with the sensitive telescopes at Kitt Peak. But many other people did not want them because they made everything look weird. I drove to a local Kmart store one night where the parking lot was illuminated with these lights. My white car appeared to be yellow. Two cars next to me were both black, until the headlights of a passing car illuminated them and one turned red and the other blue. If you had been there, would you have said that color is a "real and objective" property? Or rather that color depends somehow on external conditions and a "coupling to the observer"?
Let's make this example a little more extreme. Take a close look at a yellow spot on a color TV display or a color monitor on a computer. If you look at the pixels with a 15x jewler's loupe, you can see that there is no yellow phosphor on an RGB (Red, Green, Blue) display. Yellow is made by exciting the red and green phosphors and the combination is perceived as yellow. Ask yourself, using Heisenberg's words about trees and stones, whether Yellow exists objectively on a color monitor in the same sense that Red and Green exist. You could say that Yellow has "no deep reality" but that in the words of Bridgman, "it acquires these properties in ever-increasing degree as we ascend from the realm of the very little to the realm of everyday things."
And what would you think if one day your monitor created Yellow from Red and Green, and the next day from White and Black, and the next day from Purple and Orange, and so on? Let's say that you study this for years and conclude, reluctantly, that a color monitor can make Yellow from any color, just ANY color! Wouldn't you conclude that the world of Yellow on color monitors is, in the words of Dingle, "a world which is arbitrary, irrational and largely unknowable"? Or that the answer to this question "fades away by the highly unsportsmanlike device of just becoming meaningless"? (Fortunately, color monitors are not this extreme, nor is color itself.)
The "reality question" has not changed any from the earlier days:
Those same fundamental questions that concerned Einstein and Schrodinger continue to disturb many physicists today. What quantum mechanics really means, where it ultimately comes from, why it denies the cause-and-effect certainly of traditional physics are all questions that haunt the deepest scientific thinkers--and divide them almost as badly as 21st century political parties. Physicists simply can't agree on how to interpret quantum physics. They fight like cats and dogs over it. . . ."There are different views," says physicist Nino Zanghi of the University of Genoa in Italy. "And the different views are defended by sensible people."
At the heart of these disputes is the very nature of reality itself, and whether quantum physics is the last word on how to describe it. Zeilinger, of the University of Vienna, advocates the standard quantum view of reality's fuzziness. "It turns out that the notion of a reality 'out there' existing prior to our observation . . . is not correct in all situations," he points out
. . . if you design an experiment to see if electrons are waves, you get waves. If you design an experiment to test whether electrons are particles, you get particles. . . . Heisenberg's limit had nothing to do with human capabilities; an electron simply does not possess a well-defined position or momentum before a measurement. Unobserved, an electron exists in multiple locations at once, just as Schrodinger's cat is both alive and dead until somebody opens the box. All physics can provide are the odds of spotting the electron in any given place. . . .
.(Source: "Clash of the Quantum Titans", Tom Siegfried, Science News, Nov 20, 2010, p.15-21, http://www.sciencenews.org/index/feature/activity/view/id/65056/title/Clash_of_the_Quantum_Titans )
My view is that the reality issue involves at least two different questions which could be stated as: Is it a wave or a particle? and Does something exist (quantum mechanically) because we measure it? I believe both of these questions have very reasonable and intuitively accessible answers.
The first one boils down to another question which no one seems to have asked, namely: "How does an inherently rotational entity appear to an observer in a linear, extensional reference system?" The answer, in short, is that it can appear as a wave or as a particle depending on the experimental situation. I have covered this in more depth in Inverseness, Complementarity, and the Wave/Particle Duality and in Origin of Intrinsic Spin (above) and will not say more about it here. Also, remember what I said in my opening comments, that "quantum mechanics is the bridge" between our accessible world and the quantum world. Quantum mechanics is not the quantum world itself. Our only contact with that world is through what physicists call the "expectation value" of quantum mechanics. That limitation, plus reference system induced misconceptions, has led us to believe that the quantum world itself is weird and strange. But it is not. When understood with the proper insights, it is just as logical and reasonable as anything else in factual physics.
The second question, about existence-because-of-measurement, also has an answer. All these measurements are done in a three-dimensional spatial reference system. The actual system that the Universe uses, appears to be one comprised of three-dimensional space and three-dimensional time. We have two "realms" in effect, one of "where" and another of "when". In general, these would be mutually orthogonal and completely independent; neither has any relation to the other. A definite position or direction in 3D space cannot be mapped into a definite position in 3D time and vice versa. The relationship can only be random. However, there is one thing that can can relate or link these two realms: motion. Motion is defined as a relationship between space and time. It can be linear motion or intrinsically rotational motion. And it can be motion in space ("local" motion) or motion in time ("non-local" motion). If our reference system used "motional dimensions" directly we could see things just as they "really" are. But alas, we are limited. We have to use three dimensions of spatial displacement, and one dimension of progressive time displacement. The outcome of this is that the temporal part of the phenomenon can only exist "potentially" as a spatial possibility. Only when the experiment or measurement is carried out does the potential become the actual. The act of measurement—that is, forcing the entire phenomena to manifest itself within the limits of a spatial reference system—produces both irreducible randomness and irreducible predictability (in the statistical sense). And so, as was said above, "an electron exists in multiple locations at once, just as Schrodinger's cat is both alive and dead until somebody opens the box. All physics can provide are the odds of spotting the electron in any given place. . . ."
A somewhat different but related perspective on this comes from the theory of superconductivity developed by Bardeen, Cooper, and Schrieffer. In this scheme electrons are paired and act like bosons. But these "pairs" aren't quite what we think they are. Says physicist Feynman:
"I don't wish you to imagine that the pairs are really held together very closely like a point particle. As a matter of fact, one of the great difficulties of understanding this phenomena originally was that that is not the way things are. The two electrons which form the pair are really spread over a considerable distance; and the mean distance between pairs is relatively smaller than the size of a single pair. Several pairs are occupying the same space at the same time." (The Feynman Lectures on Physics, op. cit., Vol. 3, page 21-7)
If you danced this way with your partner, he or she would be located across the room; other couples would be similarly separated from their partners, but the mean distance between couples would be smaller than the distance between you and your partner. We could call this kind of dancing "non-local" in that the partners are "connected" not so much by space, but by music (time). Other examples of non-local effects can be given from the speed of gravity, the speed of electric fields, and the EPR paradox.
Anyway, the nature of reality is an issue that Scriptural Physics cannot dismiss. God surely knew, and even intended, for man to understand the realm of the microphysical. Things there should be no less real, no less objective, no more bizzare, than anything else in the physical universe. (see What is Scriptural Physics? for more on that view) The strange behavior of the quantum world must have a very reasonable and satisfying explanation. Scriptural Physics is, again, not a theory with the answers, but rather a methodology that will point out the path that leads to such explanations.
"Reality" and "locality" are intimately connected. So please read the section below too.
html 2/02a
The Problem of Quantum Locality
"Locality" is defined as:
"The condition that two events at spatially separated locations are entirely independent of each other, provided that the time interval between the events is less than that required for a light signal to travel from one location to the other." (McGraw-Hill Dictionary of Scientific and Technical Terms, Sybil P. Parker (editor), 1994, 5th ed., under "locality")
Let's say that I have two cigars and a cigarette lighter. One cigar is located here on Earth and is in my immediate possession and control. But the other one is located out on Mars in a top-secret laboratory there. I claim that these cigars have been "correlated" by a special process that "entangles the phase of their matter waves" and that when I light the one here on earth, the one on Mars will light up too, and at the very same time. You claim that this idea is ridiculous, that no such thing can possibly happen, that it defies common sense, that the idea is "voodoo physics", "magic", "spooky action-at-a-distance" and so forth. We devise a careful experiment which we both agree will settle this claim in a definite, unambiguous way. Then we perform the experiment. It turns out that the cigar on Mars lights up exactly when I light up the cigar on Earth. We repeat the experiment and even retry it with several different variations. But we always get the same result. We agree that there is no question at all about what actually happens to the cigars. But we now start wondering about just what the word "location" means. How can two things be located far away from each other, and yet—somehow—also act like they are located in the same place?
This is essentially the situation that arose after Einstein, Podolsky, and Rosen jointly wrote a scientific paper in 1935 pointing out that quantum mechanics predicted such an effect (the so-called "EPR Paradox"). While it cannot be done with cigars, it can be demonstrated with specially prepared atoms or photons, and today has a solid experimental basis. It thus raises the same sort of questions at the atomic level: What is locality? What is reality? You will see comments like the following in journals and textbooks:
From Quantum Reality, Nick Herbert, 1985, p. 214:
"Non-local influences, if they existed, would not be mediated by fields or by anything else. When A connects to B non-locally, nothing crosses the intervening space, hence no amount of interposed matter can shield this interaction.
Non-local influences do not diminish with distance. They are as potent at a million miles as at a millimeter.
Non-local influences act instantaneously. The speed of their transmission is not limited by the velocity of light.
A non-local interaction links up one location with another without crossing space, without decay, and without delay. A non-local interaction is, in short, unmediated, unmitigated, and immediate."
From Quantum Chemistry, Levine, op. cit. p. 196:
"Further analysis by Bell and others shows that the results of these experiments and the predictions of quantum mechanics are incompatible with a view of the world in which both realism and locality hold. Realism (also called objectivity) is the doctrine that external reality exists and has definite properties independent of whether or not this reality is observed by us. Locality excludes instantaneous action-at-a-distance and asserts that any influence from one system to another must travel at a speed that does not exceed the speed of light. Clauser and Shimony stated that quantum mechanics leads to the "philosophically startling" conclusion that we must either "totally abandon the realistic philosophy of most working scientists, or dramatically revise our concept of space-time" to permit "some kind of action-at-a-distance." (Clauser and Shimony, Rep. Prog. Phys., 41, 1881; see also B. d'Espagnat, Scientific American, Nov. 1979, p. 158.)
Quantum theory predicts and experiments confirm that when measurements are made on two particles that once interacted but now are separated by an unlimited distance the results obtained in the measurement on one particle depend on the results obtained from the measurement on the second particle and depend on which property of the second particle is measured. Such instantaneous "spooky actions at a distance" (Einstein's phrase) have led one physicist to remark that "quantum mechanics is magic" (D. Greenberger, quoted in N.D. Mermin, Physics Today, April 1985, p .38)."
From The New Physics, Paul Davies (editor), 1989, p. 395 (ISBN 0-521-43831-4):
"It does not seem feasible to interpret quantum mechanical indefiniteness, chance, probability, entanglement and nonlocality merely as features of the observer's knowledge of a physical system. Rather, they seem to be objective features of the systems themselves. Thus, the conceptual innovations of quantum mechanics are likely to remain a permanent part of the physical world view." (Abner Shimony)
From "Physicist disentangles 'Schrodinger's cat' debate" http://www.sciencedaily.com/releases/2013/08/130826123037.htm :
"According to nonlocality, if any two entangled objects are sent in opposite directions and the state of one of them is altered, the second instantly alters its state in response no matter how far apart the two may be. Hobson cites direct experimental evidence supporting his analysis, from experiments performed in 1990 involving nonlocal observation of entangled pairs of photons.
The strange thing is that the action happens instantly, with no time for light or an electromagnetic signal or radio signal to communicate between the two," Hobson said. "It is a single object that is behaving as a single object but it is in two different places. It doesn't matter what the distance is between them." "
A careful reading of these views, including the definition of "locality" given above, suggests that "non-local" simply means "non-spatial". Hence, we need another concept of "locality" that is non-spatial, but the effects of which can still be made manifest in a spatial reference system and which are still scientifically accessible. The concept of a deep reality need not be abandoned, but we must "dramatically revise our concept of space-time". (See also the 8-10-02 Note about the Shapiro Time Delay )The revision that needs to be made apparently requires space-time to be changed to "space/time" or "time/space". That is, there are locations in space, and locations in time, and the two are always linked together into a ratio. The locations in time are "non-local" in the context of a spatial reference system. When I sit at my desk, my location in space does not change, but my location in time is progressing at (apparently) the speed of light (approximately). I am in motion, but it is not spatial motion. Because gravitational motion is non-local, it is non-directional, as "when" type motions know nothing about "where" type locations. If I jump out of a tree, then according to Einstein, I am in "free fall" and the Earth rushes up (out) to meet me. But the same thing can happen to another guy on the opposite side of the Earth. The Earth rushes up (out) to meet him too. The gravitational motion of the Earth is non-vectorial (non-directional, isotropic) (i.e., scalar, having only a magnitude). It is "towards" without any other inherent direction. The Earth is also accelerating me temporally. If I were in a centrifuge, I would be accelerated spatially. In physics, there is a difference between temporal and spatial accelerations, although it is rarely mentioned in the textbooks. Spatially accelerated electric charges produce electromagnetic radiation, but temporally accelerated charges do not; they experience acceleration, just like I do when sitting in my chair (yet neither changing direction nor speed), but such charges do not radiate.
In one version of the EPR paradox, two photons are created in the same event by using a "down converter" to produce two red photons from one violet photon. The photons are created in the same time location but separate spatially due to the experimental conditions imposed. Because they are connected in time, an action on one photon will produce a complementary action on the other photon at the same time ("instantaneous action at a distance"), even though it could be miles away.
Apparently, the opposite of this can also happen. Two physical objects can be merged into the same space without "displacement" or swelling that would normally be expected by such a union. They can be as different as wood and metal:"Dissimilar substances such as steel and copper or wood can simply "come together," yet the individual substances do not dissociate. A block of wood can simply "sink into" a metal bar, yet neither the metal bar nor the block of wood come apart or carbonise." http://www.blazelabs.com/f-p-hutch.asp
http://www.dailymotion.com/video/x16y1um_wood-inside-metal-artifact-now-open-to-public_tech (01:00+)The lack of displacement and maintenance of form are particularly hard to explain. This is not just a matter of two objects "melting" (electronically?) and then merging into each other. A working hypothesis is that the two objects occupy the same space, but not at the same time. This goes contrary to our usual way of thinking: Picture a salt and pepper shaker on a place mat. Can two objects be in contact at the same place at the same time? "Of, course", would be the usual answer. But here the question is, Can two objects be in contact at the same place at different times? We would normally think not. But here the time displacement is caused by the non-local effects of externally applied electric and magnetic fields. This hypothesis only makes sense in a "motional reference system" instead of a "space and time are independent" reference system (the one commonly used). The two objects are in different kinds of "momentum space". And if that differs significantly from that of a gravitational reference system, the objects will not even be visible or "exist" from the standpoint of that system.
Also, it is well known that a material aggregate is mostly "empty space". (for lack of a better, but still familiar term.) If two dissimilar objects were to "merge" in some special way, there would still plenty of "room" left after the merge. Review: An Atom or a Nucleus? for more details.
"Fields" are merely a conceptual aid, a kind of mental crutch to deal with the "action at a distance" conundrum. The reality is actually motion, hence the terms "space/time" or "time/space" would be more appropriate than "space-time". The actions of fields (gravitational, electric, or magnetic) are actually instantaneous because they are actually non-local motions. See The Speed of Gravity : not less than 2 x 1010c , The Speed of Electric Fields , and Variations in Speed of Light .
Full mastery of non-local effects (beyond quantum mechanics) would give the human race god-like powers that are almost inconceivable to us today.
See also http://scripturalphysics.org/4v4a/ADVPROP.html#GeometrySpaceTimeMotion and Beyond Einstein: non-local physics .
Links:
http://www4.ncsu.edu/unity/lockers/users/f/felder/public/kenny/papers/bell.html , "Spooky Action at a Distance An Explanation of Bell's Theorem", Gary Felder, 1999
"Everyday entanglement Physicists take quantum weirdness out of the lab", Laura Sanders, Science News, Nov 20, 2010, p.22-29 http://www.sciencenews.org/index/feature/activity/view/id/65060/title/Everyday_Entanglement
"A quantum Renaissance", Markus Aspelmeyer, Anton Zeilinger (Physics World, July 2008) http://www.quantum.at/fileadmin/Presse/2008-07-01-MG-PW_A_Quantum__Renaissance.pdf
http://www.dhushara.com/book/quantcos/qnonloc/qnonloc.htm
http://en.wikipedia.org/wiki/Nonlocality ; http://en.wikipedia.org/wiki/Quantum_nonlocality
"Entangled photons can shatter time and space" (2009) http://hlhh.ru/entangled-photons-can-shatter-time-and-space/
To confirm this theory, the experimental group Zhizena "linked" the two photons, and then "separated" them by sending an optical cable in opposite directions.
The researchers simultaneously measured the state of entangled particles and concluded that they "interacted" with a speed exceeding the speed of light is 10 000 times
("Quantum Timekeeping", Andrew Grant, Science News, March 8, 2014, p. 22 https://www.sciencenews.org/article/quantum-timekeeping ; https://www.sciencenews.org/article/ultimate-clock )
"Physicists find extreme violation of local realism in quantum hypergraph states", Lisa Zyga (March 4, 2016) http://phys.org/news/2016-03-physicists-extreme-violation-local-realism.html?#jCp
html 2/02
The Problem of Quantum Probability
Whereas classical mechanics is descriptive, quantum mechanics is predictive. Instead of describing what is, it describes what can be. Instead of describing innate properties, it gives us betting odds like those on the roll of a die at a gambling casino:
"Within quantum mechanics we find, in a word, probabilities. However, the probability functions the theory uses cannot be regarded as weighted sums of dispersion-free probability functions—that is, as weighted sums of property ascriptions; quantum theory is irreducibly probabilistic." (The Structure and Interpretation of Quantum Mechanics, R.I.G. Hughes,1989, p. 305)
We saw this probability aspect in the single-photon double slit interference problem and its variations (see Counterintuitive Quantum Mysteries ). The photons were identical in their being, but different in their behavior. Each experimental run in each apparatus showed irreducible randomness in the position of each diffracted photon, as well as irreducible order in the overall pattern. The source of this probablistic nature is one of the deepest mysteries of quantum mechanics.
html 2/02
The Problem of Quantum Uncertainty
Anyone who studies quantum mechanics soon encounters the Heisenberg uncertainty principle:
"The relation whereby, if one simultaneously measures values of two canonically conjugate variables, such as position and momentum, the product of the uncertainties of their measured values cannot be less than approximately Planck's constant divided by 2p. Also known as Heisenberg uncertainty relation." (McGraw-Hill Dictionary of Scientific and Technical Terms, Sybil P. Parker (editor), 1994, 5th ed., under "uncertainty relation")
Over the years this principle has acquired many faces, and it is often confusing to sort them out:
"That this was the case is best illustrated by the fact that Ernan McMullin, presently chairman of the Philosophy Department of Notre Dame University, wrote a Ph.D. thesis in 1954 on the different meanings of the "quantum principle of uncertainty." He distinguished between at least four major classes of interpretations: Heisenberg's principle is regarded (1) as a principle of impossibility according to which it is impossible to measure simultaneously conjugate variables, (2) as a principle of limitations in measurement precision according to which the accuracy of previously acquired knowledge about one variable decreases by measuring its conjugate, (3) as a principle of statistics relating the scatter of one sequence of measurements with that of another, and (4) as a mathematical principle expressing the duality or complementarity of quantum phenomena." (The Philosophy of Quantum Mechanics, Max Jammer,1974, p. 79)
Let's first consider the measurement problem.
"We must consider light and matter as either waves or particles. This leads to quite an awkward result. Let us consider a measurement of the position of an electron. If we wish to locate the electron within a distance Dx, then we must use light with a wavelength at least that small. For the electron to be "seen," a photon must interact or collide in some way with the electron, for otherwise the photon will just pass right by and the electron will appear transparent. The photon has a momentum p=h/l, and during the collision some of this momentum will be transferred to the electron. The very act of locating the electron leads to a change in its momentum. If we wish to locate the electron more accurately, we must use light with a smaller wavelength. . . . Because some of the photon's momentum must be transferred to the electron in the process of locating it, the momentum change of the electron becomes greater.
Heisenberg . . . showed that it is not possible to determine exactly how much momentum is transferred to the electron.
The Uncertainty Principle states that if we wish to locate any particle to within a distance Dx, then we automatically introduce an uncertainty in the momentum of the particle. . . . It is important to realize that this uncertainty is not due to poor measurement or poor experimental technique but is a fundamental property of the act of measurement itself." (Quantum Chemistry, Donald A. McQuarrie, 1983, p. 36-37)
In the above view, the Uncertainty arises only when a measurement is performed. Contrast that with the following:
"It must not be supposed . . . that the quantum uncertainty is somehow purely the result of an attempt to effect a measurement—a sort of unavoidable clumsiness in probing delicate systems. The uncertainty is inherent in the microsystem—it is there all the time, whether or not we actually choose to measure x or p [position or momentum]." (Quantum Mechanics, P.C.W. Davies, 1984, p. 8)
And then with this:
"In quantum physics, uncertainty is a precise and definite thing. There are pairs of parameters, known as conjugate variables, for which it is impossible to have a precisely determined value of each member of the pair at the same time. The most important of these uncertain pairs are position/momentum and energy/time.
The position/momentum uncertainty is the archetypal example, first described by Werner Heisenberg in 1927. It means that no entity can have both a precisely determined momentum . . . and a precisely determined position at the same time. This is not the result of the deficiencies of our measuring apparatus—it is not just that we cannot measure both the position and momentum of, say, an electron at the same time, but that an electron does not have both a precise position and a precise momentum at the same time. . . . (Some reference books still tell you that quantum uncertainty is solely a result of the difficulty of measuring position and momentum at the same time; do not believe them!)
The uncertainty in position multiplied by the uncertainty in momentum is always greater than the parameter
["h bar"], Planck's constant divided by 2p. So although you can (in principle) get as near to this limit as you like, the more precisely one parameter is determined, the less accurately the other one is constrained. This is related to the basic wave-particle duality of the quantum world. A particle (in the everyday sense of the word) is capable of being precisely located at a point, but a wave is not." (Q is for Quantum: An Encyclopedia of particle physics, John Gribbin, 1998, under "Uncertainty")
The modern view of Uncertainty could be illustrated like this: Consider an apparatus that passes a stream of photons through a single tiny hole and then onto a photographic plate a short distance away from the hole. As the photons pass through the hole, they create an exposed spot directly behind it. But photons have a wave nature and a wave spreads out after passing through a hole, especially if the diameter of the hole is comparable to the wavelength. As the diameter of the hole is decreased, a diffraction pattern appears. It looks something like an archery target. The bullseye is called the Airy disk. (You can see something like it by pricking a tiny hole in a piece of aluminum foil and then looking at a distant street light at night through the hole.) If the hole is made still smaller, the bullseye pattern enlarges. If made smaller still, the pattern enlarges so much it washes out and the exposure becomes dim but uniform. Finally, as the hole closes, the illumination is extinguished altogether.
So if the hole is made smaller in an attempt to confine the exposure to a narrower region, the exposed region actually spreads out even more. If the hole is made larger, there is less spreading beyond the edges, but then the position of the photons is not known as precisely. Recall that momentum represents both a magnitude and a direction. Changing the diameter of the hole, somehow alters the direction, and therefore momentum of the photons. We could say that precise simultaneous knowledge of both position and momentum are at odds with each other. We call them "conjugate variables".
The most commonly used uncertainty relations are momentum-position and energy-time:
momentum-position: Dp Dx > h/4p
energy-time: DE Dt > h/4pThe space/time dimensional equivalents are :
momentum-position: (t2/s2)(s)
energy-time: (t/s)(t)Note that both of these reduce to t2/s. That should be a strong hint about the nature and origin of the Uncertainty relationships, as well as the wave-particle duality.
See also:
The Origin of Intrinsic Spin
Inverseness
Commutation and Angular Momentum
http://www.aip.org/history/heisenberg/p08.htmJust a note: ( http://en.wikipedia.org/wiki/Planck_constant )
"In applications where it is natural to use the angular frequency (i.e. where the frequency is expressed in terms of radians per second instead of cycles per second or hertz) it is often useful to absorb a factor of 2π into the Planck constant. The resulting constant is called the reduced Planck constant or Dirac constant. It is equal to the Planck constant divided by 2π, and is denoted ħ (pronounced "h-bar"):
html 2/02b
"In classical mechanics, the Least Action Principle states that the motion of a particle along some path always minimizes the difference between its kinetic energy and its potential energy. Mathematically, the motion of a particle always minimizes the Lagrangian action functional." ( http://www.conservapedia.com/Least_Action_Principle )
"Action" is defined as the difference between Kinetic Energy and Potential Energy integrated over time:
Let's say you are an expert at throwing a football here on Earth. When you throw the ball across the field, you know exactly where it is going to land. Now suppose NASA sends you to a big asteroid that is composed of irregularly distributed clumps of dense massive material ("masscons") in a matrix of much less dense material like sand. You note that these masscons distort the gravitational field. In some places, when you drop the ball, it falls straight down. But in other places, it falls a bit sideways, sometimes to your left, sometimes to your right, depending on where you are standing, and the location of a masscon. You are now going to throw the ball to your fellow astronaut on a miles-long football field. But what path will the football take? This is not like Earth where you get a smooth, very predictable trajectory. On the asteroid the gravitational irregularities will cause the ball to zig zag. It could actually take one of quite a number of possible trajectories. How do you know which one it will take?
The answer to this question is that you don't know. However, the ball does "know". It will always take the trajectory of "least action", even if you have no way of knowing what that is. Why, or how, does nature act this way?
If you wanted to go to the library by way of "the path of least gasoline", would your car be able to figure it out all by itself? Despite the traffic lights, the construction zones, all the other variables and possible routes . . . ? And why would it choose "least gasoline" and not "least time" or "least noise" or "least turns"?
You may be familiar with Feynman's puzzle of the tossed clock. There are two clocks, exactly synchronized. One remains on the ground. The other is tossed up in the air. General Relativity says that when a clock is high up in a gravitational field, it runs slightly faster that the reference clock on the ground. But it also says that a clock moving a high speed will run slightly slower than the reference clock. You are supposed to toss the clock so that it returns when the reference clock indicates 100 seconds has elapsed. You know the two clocks will not show the same time due to the two interacting Relativity effects. You are supposed to toss the clock so that it indicates that greater than 100 seconds has elapsed when the reference clock says 100 seconds. Indeed, the puzzle requires that the difference be a positive maximum for the tossed clock. What trajectory will you choose? Feynman's answer:
"Find out how fast you have to throw a ball up into the air so that it will fall back to earth in exactly 100 seconds. The ball's motion—rising fast, slowing down, stopping, and coming back down—is exactly the right motion to make the time the maximum on a wrist watch strapped to the ball.
. . . the law of motion in a gravitational field can also be stated: An object always moves from one place to another so that a clock carried on it gives a longer time than it would on any other possible trajectory—with, of course, the same starting and finishing conditions. The time measured by a moving clock is often called its "proper time". In free fall, the trajectory makes the proper time of an object a maximum. . . . So the law of gravitation can be stated in terms of the ideas of the geometry of space-time in this remarkable way. The particles always take the longest proper time—in space-time a quantity analogous to the "shortest distance". That is the law of motion in a gravitational field." (Feynman, Lectures, Vol II, pages 42-12, 42-13)
How would you design a system that acted like this? Space, time, and gravitational fields must have very specific properties to behave like this. We know the mathematical equations. But what is the underlying conceptual "machinery".
Here are a few other puzzles to ponder:
http://en.wikipedia.org/wiki/Brachistochrone_curve
http://en.wikipedia.org/wiki/Tautochrone_curve
The balls are released at the same time and same height. But the lower
path is longer than the top path. Which ball wins the race?
See http://www.lhup.edu/~dsimanek/scenario/demos.htmNote that all the examples of least action occur in a gravitational reference system.
Links:
"The Principle of Least Action" (Feynman, Lectures, Vol II, ch 19; this is quite good, and available online) http://yima.csl.illinois.edu/psfile/ECE553/FeynmanLecturesOnPhysicsChapter2-19.pdf
http://www.scholarpedia.org/article/Principle_of_least_action
http://www.cleonis.nl/physics/phys256/least_action.php
http://en.wikipedia.org/wiki/Principle_of_least_action
http://www.eftaylor.com/leastaction.html
http://www.physicsinsights.org/lagrange_1.html
this section has not been written and has no schedule. The basic idea is that molecules have momentum and that this momentum can be completely and fully described only in "motional dimensions", that is, a dimensional system that uses space/time ratios (or time/space ratios) as the fundamental dimension, not the commonly used spatial displacement and time progression displacement dimensions. The common system describes the spatial momentum component, but the full motion also has a temporal momentum component. The former corresponds to the common momentum description that has a magnitude and direction in a spatial reference system. The latter however, is "non-local" and does not have a direction in spatial reference system. It is therefore a component that has a magnitude but no direction. It therefore has an effect like diffusion. Another sort-of, kind-of, related word for that is entropy. "It is often said that entropy is an expression of the disorder, or randomness of a system . . . " http://en.wikipedia.org/wiki/Entropy
The Schrodinger equation (in quantum mechanics), incidentally, has the form of a diffusion equation, not a wave equation. See the last paragraph in Commutation and Angular Momentum.
Related to this is the Laplacian operator:
"The Laplacian occurs in differential equations that describe many physical phenomena, such as electric and gravitational potentials, the diffusion equation for heat and fluid flow, wave propagation, and quantum mechanics. The Laplacian represents the flux density of the gradient flow of a function. For instance, the net rate at which a chemical dissolved in a fluid moves toward or away from some point is proportional to the Laplacian of the chemical concentration at that point; expressed symbolically, the resulting equation is the diffusion equation. For these reasons, it is extensively used in the sciences for modelling all kinds of physical phenomena." http://en.wikipedia.org/wiki/Laplace_operator
In the spatial world, we are often interested in how something changes with respect to time. Velocity, for example, tells us how distance (traveled by a car, for instance) changes with time. Acceleration, tells us how velocity itself changes with time, or equivalently, how the change in distance changes with time (read that carefully: it is a "change of a change"). In these cases, space is in the numerator and time is in the denominator.
The Laplacian operator can be thought of as the inverse of all this. It asks for the "change of a change" of some physical property with respect to distance. It might be a chemical concentration as when ammonia vapor diffuses from a bottle into a room. Or it might be density in a photograph; a high rate of "change of change" in density with respect to distance is used in computer algorithms to find the edges of objects in a photo (something we humans can do easily).
The usefulness of the Laplacian in physics suggests that the foundations of our world not only involve spatial motion, but also temporal motion. The latter manifests itself through spatial effects (like diffusion) that can be described mathematically by the Laplacian.
One intriguing question that arises here concerns the behavior of entropy in the framework of the speed spectrum. At certain natural unit boundaries, like the speed of light, physical behavior seems to "invert". This means that spatial entropy could become temporal entropy, or that spatial diffusion could become spatial "un-diffusion". Something that we expect to be diffuse (like particles in an explosion) would actually become dense. Perhaps this could explain certain high-density astronomical objects like white dwarfs, compact galaxies, and the "compact jets" being emitted from galaxies like M87 (see also HVGC-1 ). High speeds and high energies would be required in this context. More speculatively, if a device that uses electric and magnetic fields could be made to operate in the "inverted" spectrum, it could conceivably obtain "power from nowhere", because something that is naturally slowing down and losing energy from the temporal standpoint, is actually gaining energy from the spatial standpoint. None of this will make sense unless a reference system of "motional dimensions" is used. (Apparently, scientists are making some vaguely similar suppositions. See: "Finding faster-than-light particles by weighing them",Dec 26, 2014 http://phys.org/news/2014-12-faster-than-light-particles.html )
_____
The physics of actual, authentic, fundamental, temporal motion itself seems to be largely uninvestigated, or a least unpublished. Several decades ago, German physicists knew there was a relationship between quantum mechanics and gravitation (related article: One Christian's Perspective on Quantum Mechanics). Prior to, during, and somewhat after World War II, Nazi scientists were apparently "poking around" in this kind of physics (sometimes called "monstrous physics" because it was so different from the normal, spatial kind) and stumbled into some startling phenomena and applications. That in turn led to the development of a "wonder weapon" (or weapons) which they believed were "decisive for the war". They ran out of time, however, before such weapons could be deployed. After the war, development apparently continued secretly in other parts of the world. This kind of physics is still not publicly available, but is believed to have something to do with the phenomena of "flying saucers". See ../4v4a/ADVPROP.html#NaziTechnologyRefs
The links listed below have useful tutorial articles on:
Quantum Mechanics:
http://www.ncsu.edu/felder-public/kenny/papers/psi.html
What Do You DoWith a Wavefunction?
Gary Felder and Kenny Felder, 2003
This is a short paper on "the most basic things you should know after a quantum mechanics class."http://www.chembio.uoguelph.ca/educmat/chm386/chm386.htm This is educational material for Quantum Chemistry 3860 by Dan Thomas at the University of Guelph, Ontario,Canada. It gives historical sketches of the early developers of quantum mechanics as well as tutorials on mathematical methods. If you want to know about Hermitian Operators, Dirac Notation, eigenvalues, commutators, operator algebra, etc., and how they are applied to free particles, particles in potential wells, etc. this is a good site to visit.
http://zopyros.ccqc.uga.edu/lec_top/quantrev/quantrev.html
http://www.bottomlayer.com/bottom/essays.html See especially "The Reality Program".
http://forum.rstheory.com/ This a discussion forum for the Reciprocal System. RS theory is a complete, monolithic theoretical system (not just a methodology). It is very comprehensive in its coverage, but unfortunately does not cover quantum mechanics as a specific topic. Still, forum members can speak the language of space/time ratios. You might find some "kindred spirits" here.
Nothing But Motion, Dewey B. Larson, 1979. This book has four chapters on what could probably be called the "chemistry of space/time ratios." It is heavy reading, but thought provoking.
The Collected works of Dewey B. Larson, http://www.rsystem.org/dbl/index.htm
The following are books that I would recommend to those who want a more technical understanding of quantum mechanics. A year or two of college mathematics (calculus and differential equations) would be helpful for understanding the material in these publications. You also might check the reviews at commercial booksellers like www.amazon.com to see if they are what you are looking for.
Mathematics:
KahnAcademy, http://www.khanacademy.org/ ; This is a popular site offering free, on-line lessons in arithmetic, algebra, trigonometry, probability, statistics, calculus, chemistry, physics, astronomy, finance, and so forth.
Elementary Linear Algebra, Howard Anton, 1994, seventh edition, ISBN 0-471-58742-7. If you want a good foundation for understanding the mathematics of quantum mechanics, this book is a good place to start.
Linear Algebra , Jim Hefferon, http://joshua.smcvt.edu/linearalgebra/ (http://joshua.smcvt.edu/linearalgebra/book.pdf , http://joshua.smcvt.edu/linearalgebra/jhanswer.pdf
The Story of a Number, Eli Maor, 1994, ISBN 0-691-05854-7
Who is Fourier: A Mathematical Adventure, Transnational College of LEX (translated by Alan Gleason), 1995, ISBN 0-9643504-0-8
Metric Spaces: Iteration and Application, Victor Bryant, 1985, ISBN 0-521-31897-1
Quaternions and Rotation Sequences, Jack B. Kuipers, 1998, ISBN 0-691-05872-5
"A Gentle Introduction to Tensors", Thomas C. Mangan, http://www.tommangan.us/Tensors.pdf
"An Introduction to Tensors for Students of Physics and Engineering", Joseph C. Kolecki (Glenn Research Center, Cleveland, Ohio), 2002, http://www.grc.nasa.gov/WWW/k-12/Numbers/Math/documents/Tensors_TM2002211716
A Student's Guide to Vectors and Tensors, Daniel Fleisch (2012) This is an excellent introduction to tensor concepts.
Quick Introduction to Tensor Analysis, R. A. Sharipov, 2004, http://samizdat.mines.edu/tensors/ShR6b.pdf
"Covariance and contravariance of vectors", http://en.wikipedia.org/wiki/Covariance_and_contravariance_of_vectors
Mathematical Tools for Physics, James Nearing, 2010, "Tensors", chapter 12 (p.327-359) ISBN 10:0-486-48212-X. This book is a pleasure to read and is offered at a very reasonable price. The online version is also available at: http://www.physics.miami.edu/~nearing/mathmethods/ . It is searchable, contains hyperlinks that are useful for additional insights, and errata to the printed text. The reader gets the convenience of a printed edition, as well as the additional capabilities embedded in the electronic edition. (This is the way math books should be published!)
Tensor Calculus, David C. Kay, 1988. This is one of the Schaum's Outlines series.
Math script:
Complex Analysis (university level):
An Imaginary Tale: The Story of Ö-1, Paul J. Nahin, 1998, ISBN 0-691-02795-1
Complex Variables, Stephen D. Fisher, 1990, second edition, ISBN 0-486-40679-2
Introduction to Real Analysis, R.G. Bartle and D.R. Sherbert, 2nd ed, 1992, ISBN 0-471-51000-9
Quantum Mechanics (university level):
The Feynman Lectures on Physics, Richard, Feynman, Leighton and Sands, 1965 (Volume 3 is about quantum mechanics, but it is best to have the entire set of all three volumes)
Modern Physics, Paul A. Tipler, 1978, second edition, ISBN 0-87901-088-6.
Molecular Quantum Mechanics, Peter Atkins, Ronald Friedman, 2005, 4th ed. ISBN-13: 978-0-19-927498-7
The Structure and Interpretation of Quantum Mechanics, R.I.G.Hughes,1989, (ISBN 0-674-84392-4) Quantum mechanics is essentially a mathematical theory. If you want a brief, no-frills introduction to vector spaces and Hilbert space theory, this is a book to consider. In the author's words, "the mathematical background it assumes is that of high school mathematics, and the additional mathematics needed, the mathematics of vector spaces, is presented in Chapters 1 and 5."
Quantum Chemistry, Ira N. Levine, 2000, fifth edition, ISBN 0-13-685512-1.
Quantum Chemistry, Donald A. McQuarrie, 1983, ISBN 0-935702-13-X
Quanta: A Handbook of Concepts, P.W. Atkins, 1991, second edition, ISBN 0-19-855573-3
Q is for Quantum: An Encyclopedia of particle physics, John Gribbin, 1998, ISBN 0-684-86315-4
Quantum Physics : Of Atoms, Molecules, Solids, Nuclei, and Particles, R. M. Eisberg, R. Resnick, 1985, ISBN 0-471-87373-X
Optics:
Optics, Eugene Hecht, 2nd ed., 1987/1990, ISBN 0-201-11609-X
Optical Physics, S.G. Lipson, H. Lipson, D.S. Tannhauser, 1995, third edition, ISBN 0-521-43631-1
Nuclear weapons:
I had to study nuclear weapons to obtain some insights about "time pumps" and high-density, high-energy materials. The references below are especially informative to a general technical audience.
Fourth Generation Nuclear Weapons, Andre Gsponer, Jean-Pierre Hurni, 1999, 6th ed. This can be ordered by email at ianus@hrzpub.tu-darmstadt.de . It has plenty of technical details about nuclear weapons (physics, not actual technology), tables, illustrations, and a very valuable bibliography with 567 entries. It is very well written and easily worth the $25 I paid for my copy.
The Making of the Atomic Bomb, Richard Rhodes, 1986. A fascinating history of the development of the atomic bomb and its use in World War II.
Dark Sun, Richard Rhodes, 1995. Another fascinating history of the development of the hydrogen bomb.
There is also a huge amount of useful material at the Federation of American Scientists website and various sublinks including:
Introduction to Special Weapons ( http://www.fas.org/nuke/intro/index.html )
High Energy Weapons Archive ( http://www.fas.org/nuke/hew/index.html )Others:
http://en.wikipedia.org/wiki/Nuclear_weapon_design
http://en.wikipedia.org/wiki/Teller%E2%80%93Ulam_design
http://www.osti.gov/opennet/rdd-5.htmlPhysics:
__________
Complex numbers are used a lot in quantum mechanics. It is important to become comfortable with their use. The following illustrations are mathematical teasers offered for entertainment purposes.
You can also verify this math with the Google calculator. Type each of the following threeexamples into the Google search bar and then click the Search button:
10^(0.68226*i)
i^i
i^0.5
and you will see, respectively:
10^(0.68226 * i) = -0.00016537875 + 0.999999986 i
i^i = 0.207879576
i^0.5 = 0.707106781 + 0.707106781 i